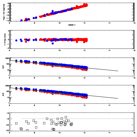
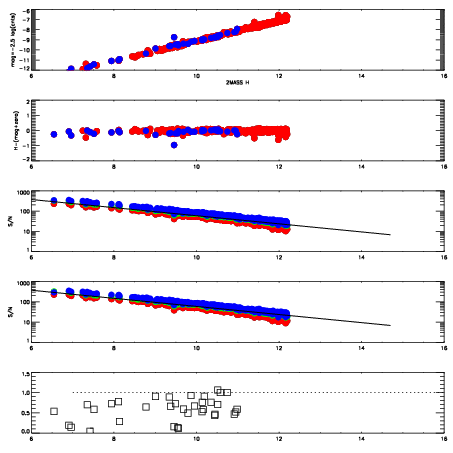
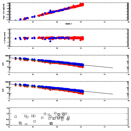
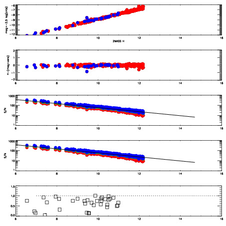
Frame | Nreads | Zeropoints | Mag plots
| Spatial mag deviation
| Spatial sky 16325A emission deviations (filled: sky, open: star)
| Spatial sky continuum emission
| Spatial sky telluric CO2 absorption deviations (filled: H < 10)
|
11830010
| 47
| | Red | Green | Blue
| z | | 18.87
| znorm | | 14.69
| sky | 14.7 | 14.5 | 14.4
| S/N | 14.3 | 23.3 | 23.8
| S/N(c) | 26.6 | 30.2 | 23.8
| SN(E/C) | 0.74
|
|
|
|
|
|
|
11830011
| 47
| | Red | Green | Blue
| z | | 18.79
| znorm | | 14.61
| sky | 14.9 | 14.8 | 14.7
| S/N | 12.9 | 22.1 | 23.0
| S/N(c) | 25.0 | 28.7 | 22.6
| SN(E/C) | 0.70
|
|
|
|
|
|
|
11830012
| 47
| | Red | Green | Blue
| z | | 18.91
| znorm | | 14.72
| sky | 14.7 | 14.9 | 14.6
| S/N | 14.0 | 23.3 | 24.7
| S/N(c) | 26.6 | 30.2 | 24.1
| SN(E/C) | 0.70
|
|
|
|
|
|
|
11830013
| 47
| | Red | Green | Blue
| z | | 19.13
| znorm | | 14.95
| sky | 14.7 | 14.6 | 14.6
| S/N | 16.5 | 26.0 | 28.1
| S/N(c) | 29.9 | 33.7 | 26.8
| SN(E/C) | 0.64
|
|
|
|
|
|
|
11830014
| 47
| | Red | Green | Blue
| z | | 19.07
| znorm | | 14.89
| sky | 14.7 | 14.7 | 14.7
| S/N | 15.5 | 25.5 | 26.5
| S/N(c) | 28.9 | 32.8 | 26.1
| SN(E/C) | 0.63
|
|
|
|
|
|
|
11830015
| 47
| | Red | Green | Blue
| z | | 19.15
| znorm | | 14.97
| sky | 14.6 | 14.6 | 14.8
| S/N | 16.6 | 26.2 | 28.1
| S/N(c) | 30.3 | 34.3 | 27.1
| SN(E/C) | 0.59
|
|
|
|
|
|
|
11830016
| 47
| | Red | Green | Blue
| z | | 19.02
| znorm | | 14.84
| sky | 14.7 | 14.6 | 14.6
| S/N | 15.1 | 24.4 | 25.5
| S/N(c) | 28.1 | 31.8 | 25.3
| SN(E/C) | 0.62
|
|
|
|
|
|
|
11830017
| 47
| | Red | Green | Blue
| z | | 18.89
| znorm | | 14.71
| sky | 14.8 | 14.9 | 14.8
| S/N | 13.9 | 23.2 | 24.1
| S/N(c) | 26.3 | 30.4 | 23.8
| SN(E/C) | 0.66
|
|
|
|
|
|
|