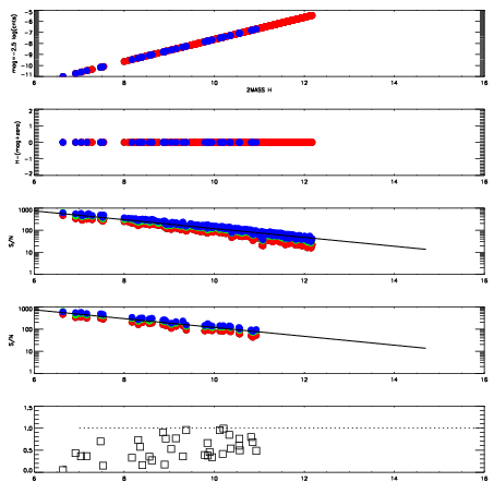
Left plots: red are targets, blue are telluric. Observed mags are calculated from median value of green chip. Zeropoint gives overall throughput: bigger number is more throughput.
First spatial plots: circles are objects, squares are tellurics, crosses are sky fibers. Colors give deviation of observed mag from expected 2MASS mag using the median zeropoint; red is brighter
Second spatial plots: circles are sky fibers. Colors give sky line brightness relative to plate median sky line brightness
FrameNreadsZeropointsMag plots Spatial mag deviation Spatial sky 16325A emission deviations (filled: sky, open: star) Spatial sky continuum emission Spatial sky telluric CO2 absorption deviations (filled: H < 10)
0 0
RedGreenBlue
z17.64
znorm Inf
sky -Inf -Inf -Inf
S/N 22.3 38.1 41.5
S/N(c) 0.0 0.0 0.0
SN(E/C) 0.50

IPAIRNAMESHIFTNEWSHIFTS/N NAMESHIFTNEWSHIFTS/N
0 08460096 0.487981 0.00000 18.8570 08460098 0.000822620 0.487158 18.8769
1 08460099 0.483324 0.00465700 18.9285 08460097 0.00396232 0.484019 18.8850
2 08460100 0.484849 0.00313199 18.8539 08460094 0.00000 0.487981 18.8103
3 08460095 0.485039 0.00294200 18.8314 08460101 0.00155434 0.486427 18.6017