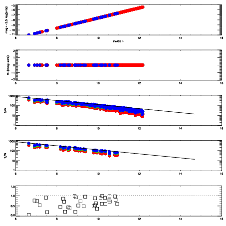
Left plots: red are targets, blue are telluric. Observed mags are calculated from median value of green chip. Zeropoint gives overall throughput: bigger number is more throughput.
First spatial plots: circles are objects, squares are tellurics, crosses are sky fibers. Colors give deviation of observed mag from expected 2MASS mag using the median zeropoint; red is brighter
Second spatial plots: circles are sky fibers. Colors give sky line brightness relative to plate median sky line brightness
FrameNreadsZeropointsMag plots Spatial mag deviation Spatial sky 16325A emission deviations (filled: sky, open: star) Spatial sky continuum emission Spatial sky telluric CO2 absorption deviations (filled: H < 10)
0 0
RedGreenBlue
z17.64
znorm Inf
sky -Inf -Inf -NaN
S/N 13.4 25.1 26.0
S/N(c) 0.0 0.0 0.0
SN(E/C) 0.71

IPAIRNAMESHIFTNEWSHIFTS/N NAMESHIFTNEWSHIFTS/N
0 08710028 0.475710 0.00000 17.7135 08710025 0.00420658 0.471503 18.0746
1 08710023 0.474137 0.00157300 18.2760 08710029 0.00337949 0.472331 18.4043
2 08710024 0.474914 0.000795990 17.9581 08710022 0.00000 0.475710 18.3544
3 08710027 0.475692 1.80006e-05 17.9571 08710026 0.00455107 0.471159 18.3092