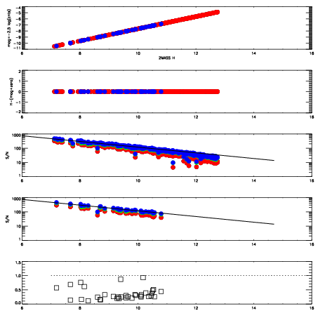
Left plots: red are targets, blue are telluric. Observed mags are calculated from median value of green chip. Zeropoint gives overall throughput: bigger number is more throughput.
First spatial plots: circles are objects, squares are tellurics, crosses are sky fibers. Colors give deviation of observed mag from expected 2MASS mag using the median zeropoint; red is brighter
Second spatial plots: circles are sky fibers. Colors give sky line brightness relative to plate median sky line brightness
FrameNreadsZeropointsMag plots Spatial mag deviation Spatial sky 16325A emission deviations (filled: sky, open: star) Spatial sky continuum emission Spatial sky telluric CO2 absorption deviations (filled: H < 10)
0 0
RedGreenBlue
z17.64
znorm Inf
sky -Inf -NaN -Inf
S/N 16.6 31.8 32.7
S/N(c) 0.0 0.0 0.0
SN(E/C) 0.28

IPAIRNAMESHIFTNEWSHIFTS/N NAMESHIFTNEWSHIFTS/N
0 08710017 0.475976 0.00000 18.2990 08710018 0.00214447 0.473832 18.2460
1 08710016 0.474881 0.00109500 18.5356 08710011 0.00000 0.475976 18.6900
2 08710013 0.474429 0.00154698 18.4681 08710014 -0.000199437 0.476175 18.5507
3 08710012 0.473646 0.00233001 18.4149 08710015 0.000145781 0.475830 18.3683