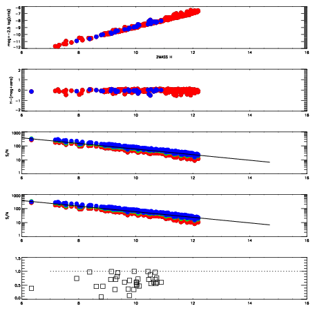
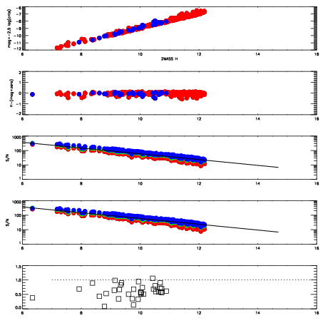
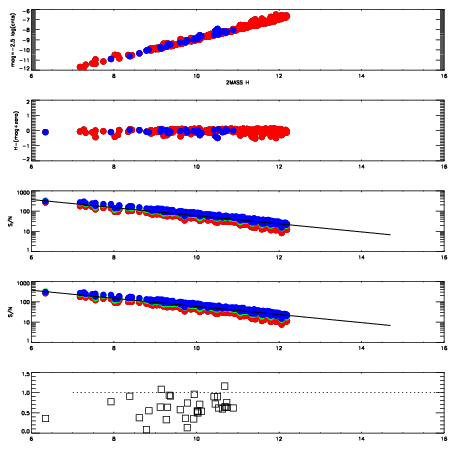
Frame | Nreads | Zeropoints | Mag plots
| Spatial mag deviation
| Spatial sky 16325A emission deviations (filled: sky, open: star)
| Spatial sky continuum emission
| Spatial sky telluric CO2 absorption deviations (filled: H < 10)
|
8700048
| 47
| | Red | Green | Blue
| z | | 18.86
| znorm | | 14.68
| sky | 14.7 | 14.5 | 14.6
| S/N | 12.7 | 21.6 | 21.9
| S/N(c) | 11.2 | 14.1 | 11.2
| SN(E/C) | 0.65
|
|
|
|
|
|
|
8700049
| 47
| | Red | Green | Blue
| z | | 18.82
| znorm | | 14.64
| sky | 14.8 | 14.7 | 15.2
| S/N | 12.1 | 21.7 | 21.9
| S/N(c) | 10.7 | 13.8 | 10.9
| SN(E/C) | 0.64
|
|
|
|
|
|
|
8700050
| 47
| | Red | Green | Blue
| z | | 18.90
| znorm | | 14.72
| sky | 14.8 | 14.7 | 15.0
| S/N | 12.6 | 22.5 | 22.9
| S/N(c) | 11.3 | 14.5 | 11.4
| SN(E/C) | 0.61
|
|
|
|
|
|
|
8700051
| 47
| | Red | Green | Blue
| z | | 18.93
| znorm | | 14.75
| sky | 15.0 | 14.8 | 15.2
| S/N | 13.2 | 22.8 | 23.6
| S/N(c) | 11.6 | 14.8 | 11.6
| SN(E/C) | 0.62
|
|
|
|
|
|
|
8700052
| 47
| | Red | Green | Blue
| z | | 18.93
| znorm | | 14.75
| sky | 14.8 | 14.7 | 15.1
| S/N | 12.9 | 22.6 | 23.5
| S/N(c) | 11.4 | 14.6 | 11.7
| SN(E/C) | 0.61
|
|
|
|
|
|
|
8700053
| 47
| | Red | Green | Blue
| z | | 18.92
| znorm | | 14.74
| sky | 14.8 | 15.0 | 15.3
| S/N | 12.8 | 22.6 | 23.7
| S/N(c) | 11.4 | 14.6 | 11.7
| SN(E/C) | 0.63
|
|
|
|
|
|
|
8700054
| 47
| | Red | Green | Blue
| z | | 18.94
| znorm | | 14.76
| sky | 15.0 | 15.0 | 15.1
| S/N | 13.0 | 22.7 | 23.4
| S/N(c) | 11.4 | 14.6 | 11.8
| SN(E/C) | 0.59
|
|
|
|
|
|
|
8700055
| 47
| | Red | Green | Blue
| z | | 18.94
| znorm | | 14.76
| sky | 15.0 | 15.1 | 15.0
| S/N | 12.9 | 22.7 | 23.8
| S/N(c) | 11.3 | 14.6 | 11.8
| SN(E/C) | 0.62
|
|
|
|
|
|
|
8700056
| 47
| | Red | Green | Blue
| z | | 19.00
| znorm | | 14.82
| sky | 14.8 | 14.9 | 15.1
| S/N | 13.5 | 23.1 | 24.5
| S/N(c) | 11.7 | 15.0 | 12.1
| SN(E/C) | 0.61
|
|
|
|
|
|
|
8700057
| 47
| | Red | Green | Blue
| z | | 19.03
| znorm | | 14.85
| sky | 14.8 | 15.0 | 15.1
| S/N | 13.6 | 23.3 | 24.8
| S/N(c) | 11.9 | 15.2 | 12.4
| SN(E/C) | 0.60
|
|
|
|
|
|
|