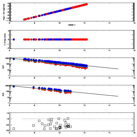
Left plots: red are targets, blue are telluric. Observed mags are calculated from median value of green chip. Zeropoint gives overall throughput: bigger number is more throughput.
First spatial plots: circles are objects, squares are tellurics, crosses are sky fibers. Colors give deviation of observed mag from expected 2MASS mag using the median zeropoint; red is brighter
Second spatial plots: circles are sky fibers. Colors give sky line brightness relative to plate median sky line brightness
FrameNreadsZeropointsMag plots Spatial mag deviation Spatial sky 16325A emission deviations (filled: sky, open: star) Spatial sky continuum emission Spatial sky telluric CO2 absorption deviations (filled: H < 10)
0 0
RedGreenBlue
z17.64
znorm Inf
sky -NaN -NaN -Inf
S/N 25.9 47.1 49.6
S/N(c) 0.0 0.0 0.0
SN(E/C) 0.40

IPAIRNAMESHIFTNEWSHIFTS/N NAMESHIFTNEWSHIFTS/N
0 08700049 0.471146 0.00000 18.8100 08700048 0.00000 0.471146 18.8390
1 08700057 0.468584 0.00256199 19.0236 08700056 -0.00111633 0.472262 18.9915
2 08700054 0.469238 0.00190797 18.9252 08700055 -0.000484095 0.471630 18.9328
3 08700053 0.470443 0.000702977 18.9182 08700052 -0.00204324 0.473189 18.9228
4 08700050 0.470963 0.000182986 18.8834 08700051 -0.00102607 0.472172 18.9224