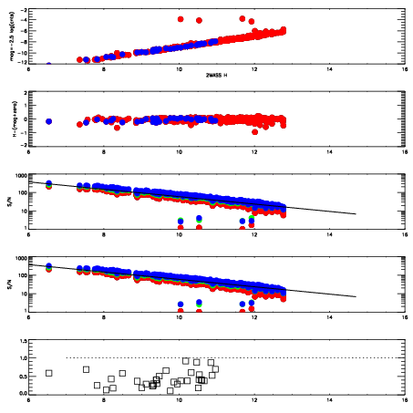
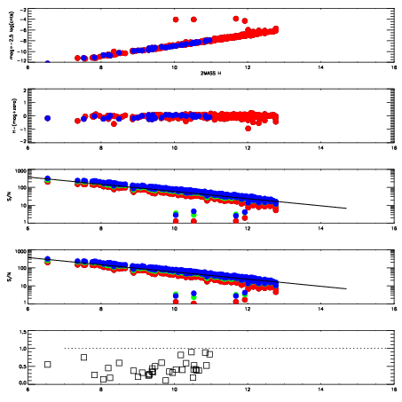
Frame | Nreads | Zeropoints | Mag plots
| Spatial mag deviation
| Spatial sky 16325A emission deviations (filled: sky, open: star)
| Spatial sky continuum emission
| Spatial sky telluric CO2 absorption deviations (filled: H < 10)
|
8160025
| 47
| | Red | Green | Blue
| z | | 18.92
| znorm | | 14.74
| sky | 14.8 | 14.3 | 14.3
| S/N | 13.5 | 22.8 | 24.1
| S/N(c) | 27.0 | 7.5 | 13.7
| SN(E/C) | 0.41
|
|
|
|
|
|
|
8160026
| 47
| | Red | Green | Blue
| z | | 18.93
| znorm | | 14.75
| sky | 14.7 | 14.5 | 14.7
| S/N | 13.8 | 22.8 | 24.5
| S/N(c) | 25.9 | 7.5 | 14.1
| SN(E/C) | 0.41
|
|
|
|
|
|
|
8160027
| 47
| | Red | Green | Blue
| z | | 19.01
| znorm | | 14.83
| sky | 14.7 | 14.6 | 14.7
| S/N | 14.2 | 23.7 | 25.2
| S/N(c) | 27.7 | 7.8 | 14.6
| SN(E/C) | 0.39
|
|
|
|
|
|
|
8160028
| 47
| | Red | Green | Blue
| z | | 19.00
| znorm | | 14.82
| sky | 14.8 | 14.7 | 14.8
| S/N | 13.9 | 23.0 | 24.8
| S/N(c) | 27.7 | 7.9 | 14.5
| SN(E/C) | 0.39
|
|
|
|
|
|
|
8160029
| 47
| | Red | Green | Blue
| z | | 19.00
| znorm | | 14.82
| sky | 14.8 | 14.8 | 14.8
| S/N | 13.9 | 23.0 | 24.5
| S/N(c) | 27.3 | 7.8 | 14.3
| SN(E/C) | 0.38
|
|
|
|
|
|
|
8160030
| 47
| | Red | Green | Blue
| z | | 18.97
| znorm | | 14.79
| sky | 14.9 | 14.8 | 14.9
| S/N | 13.6 | 22.3 | 23.7
| S/N(c) | 26.8 | 7.8 | 14.2
| SN(E/C) | 0.39
|
|
|
|
|
|
|
8160031
| 47
| | Red | Green | Blue
| z | | 18.99
| znorm | | 14.81
| sky | 14.9 | 14.7 | 14.8
| S/N | 13.7 | 22.9 | 23.9
| S/N(c) | 27.0 | 7.9 | 14.3
| SN(E/C) | 0.39
|
|
|
|
|
|
|
8160032
| 47
| | Red | Green | Blue
| z | | 18.95
| znorm | | 14.77
| sky | 15.0 | 14.9 | 14.7
| S/N | 13.5 | 22.2 | 23.5
| S/N(c) | 27.0 | 7.7 | 14.1
| SN(E/C) | 0.41
|
|
|
|
|
|
|