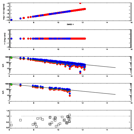
Left plots: red are targets, blue are telluric. Observed mags are calculated from median value of green chip. Zeropoint gives overall throughput: bigger number is more throughput.
First spatial plots: circles are objects, squares are tellurics, crosses are sky fibers. Colors give deviation of observed mag from expected 2MASS mag using the median zeropoint; red is brighter
Second spatial plots: circles are sky fibers. Colors give sky line brightness relative to plate median sky line brightness
FrameNreadsZeropointsMag plots Spatial mag deviation Spatial sky 16325A emission deviations (filled: sky, open: star) Spatial sky continuum emission Spatial sky telluric CO2 absorption deviations (filled: H < 10)
0 0
RedGreenBlue
z17.64
znorm Inf
sky -NaN -NaN -Inf
S/N 21.7 39.6 42.8
S/N(c) 0.0 0.0 0.0
SN(E/C) 0.64

IPAIRNAMESHIFTNEWSHIFTS/N NAMESHIFTNEWSHIFTS/N
0 11470061 0.479280 0.00000 18.9042 11470058 -0.000952756 0.480233 18.9673
1 11470060 0.478506 0.000773996 19.0217 11470059 -0.00130716 0.480587 19.0546
2 11470056 0.477414 0.00186598 18.8943 11470055 0.00000 0.479280 18.8078
3 11470057 0.477271 0.00200900 18.8744 11470062 -0.000570561 0.479851 18.3217