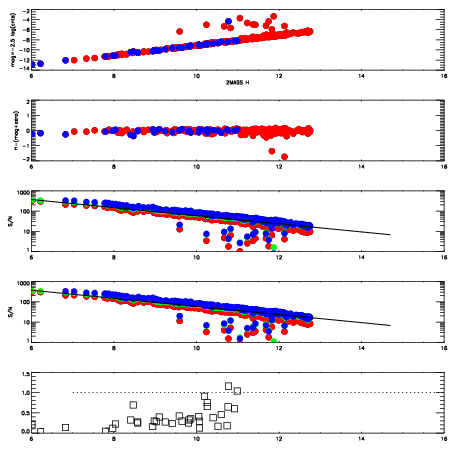
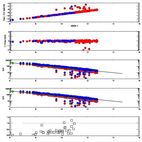
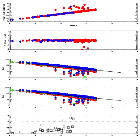
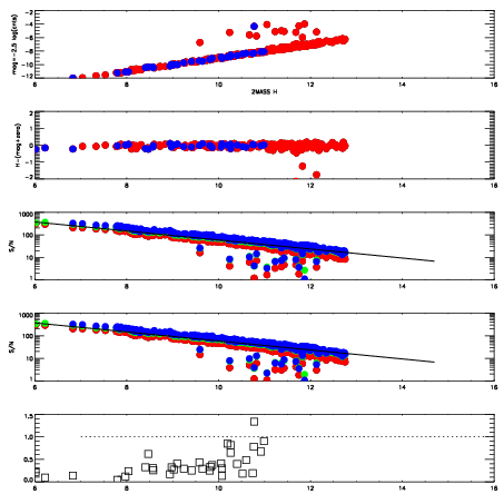
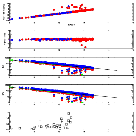
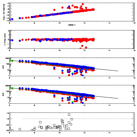
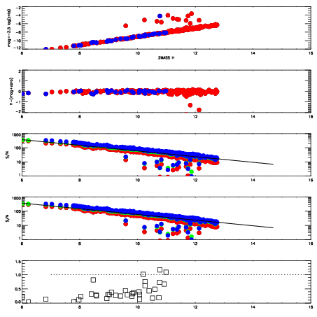
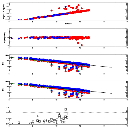
Frame | Nreads | Zeropoints | Mag plots
| Spatial mag deviation
| Spatial sky 16325A emission deviations (filled: sky, open: star)
| Spatial sky continuum emission
| Spatial sky telluric CO2 absorption deviations (filled: H < 10)
|
8160036
| 47
| | Red | Green | Blue
| z | | 19.05
| znorm | | 14.87
| sky | 14.9 | 14.5 | 14.7
| S/N | 14.9 | 24.6 | 26.3
| S/N(c) | 26.2 | 6.9 | 12.1
| SN(E/C) | 0.30
|
|
|
|
|
|
|
8160037
| 47
| | Red | Green | Blue
| z | | 19.09
| znorm | | 14.91
| sky | 14.8 | 14.5 | 14.9
| S/N | 14.9 | 25.3 | 27.1
| S/N(c) | 27.2 | 7.0 | 12.3
| SN(E/C) | 0.30
|
|
|
|
|
|
|
8160038
| 47
| | Red | Green | Blue
| z | | 19.10
| znorm | | 14.92
| sky | 14.7 | 14.6 | 14.9
| S/N | 15.3 | 25.3 | 27.4
| S/N(c) | 27.3 | 7.0 | 12.4
| SN(E/C) | 0.29
|
|
|
|
|
|
|
8160039
| 47
| | Red | Green | Blue
| z | | 19.13
| znorm | | 14.95
| sky | 14.9 | 14.6 | 14.7
| S/N | 15.3 | 26.0 | 27.7
| S/N(c) | 27.8 | 7.1 | 12.6
| SN(E/C) | 0.29
|
|
|
|
|
|
|
8160040
| 47
| | Red | Green | Blue
| z | | 19.12
| znorm | | 14.94
| sky | 14.7 | 14.6 | 14.7
| S/N | 15.2 | 25.7 | 27.8
| S/N(c) | 27.7 | 7.1 | 12.5
| SN(E/C) | 0.29
|
|
|
|
|
|
|
8160041
| 47
| | Red | Green | Blue
| z | | 19.11
| znorm | | 14.93
| sky | 14.7 | 14.7 | 14.8
| S/N | 15.1 | 25.8 | 27.8
| S/N(c) | 27.5 | 7.0 | 12.6
| SN(E/C) | 0.30
|
|
|
|
|
|
|
8160042
| 47
| | Red | Green | Blue
| z | | 19.09
| znorm | | 14.91
| sky | 14.8 | 14.7 | 14.8
| S/N | 15.3 | 25.8 | 28.1
| S/N(c) | 27.3 | 7.0 | 12.5
| SN(E/C) | 0.29
|
|
|
|
|
|
|
8160043
| 47
| | Red | Green | Blue
| z | | 19.09
| znorm | | 14.91
| sky | 14.8 | 14.8 | 14.9
| S/N | 15.2 | 25.8 | 28.1
| S/N(c) | 27.2 | 7.0 | 12.4
| SN(E/C) | 0.30
|
|
|
|
|
|
|