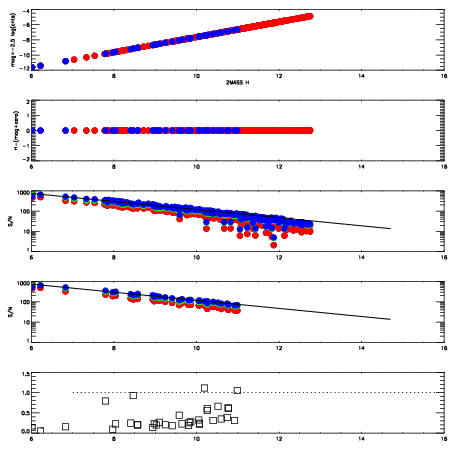
Left plots: red are targets, blue are telluric. Observed mags are calculated from median value of green chip. Zeropoint gives overall throughput: bigger number is more throughput.
First spatial plots: circles are objects, squares are tellurics, crosses are sky fibers. Colors give deviation of observed mag from expected 2MASS mag using the median zeropoint; red is brighter
Second spatial plots: circles are sky fibers. Colors give sky line brightness relative to plate median sky line brightness
FrameNreadsZeropointsMag plots Spatial mag deviation Spatial sky 16325A emission deviations (filled: sky, open: star) Spatial sky continuum emission Spatial sky telluric CO2 absorption deviations (filled: H < 10)
0 0
RedGreenBlue
z17.64
znorm Inf
sky -Inf -Inf -Inf
S/N 16.7 31.0 32.6
S/N(c) 0.0 0.0 0.0
SN(E/C) 0.26

IPAIRNAMESHIFTNEWSHIFTS/N NAMESHIFTNEWSHIFTS/N
0 08470084 0.489835 0.00000 18.4172 08470082 0.00000 0.489835 18.4024
1 08470085 0.00308701 0.486748 18.5434 08470087 -0.431002 0.920837 18.5517
2 08470088 -0.427605 0.917440 18.4813 08470086 -0.887796 1.37763 18.4578
3 08470083 0.487635 0.00220001 18.4179 08470089 -0.118959 0.608794 18.4246