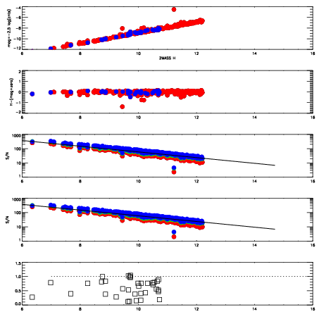
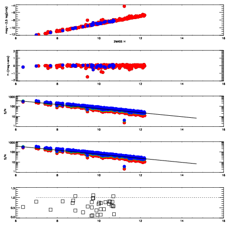
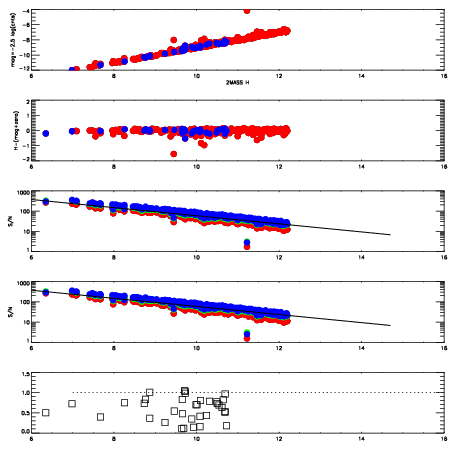
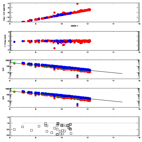
Frame | Nreads | Zeropoints | Mag plots
| Spatial mag deviation
| Spatial sky 16325A emission deviations (filled: sky, open: star)
| Spatial sky continuum emission
| Spatial sky telluric CO2 absorption deviations (filled: H < 10)
|
9080026
| 47
| | Red | Green | Blue
| z | | 18.99
| znorm | | 14.81
| sky | 14.1 | 13.9 | 14.2
| S/N | 13.9 | 22.0 | 24.2
| S/N(c) | 29.4 | 37.4 | 19.8
| SN(E/C) | 0.68
|
|
|
|
|
|
|
9080027
| 47
| | Red | Green | Blue
| z | | 19.02
| znorm | | 14.84
| sky | 14.1 | 14.2 | 14.4
| S/N | 14.3 | 22.6 | 24.7
| S/N(c) | 30.1 | 38.5 | 20.3
| SN(E/C) | 0.69
|
|
|
|
|
|
|
9080028
| 47
| | Red | Green | Blue
| z | | 18.95
| znorm | | 14.77
| sky | 14.2 | 14.2 | 14.5
| S/N | 13.5 | 21.7 | 24.0
| S/N(c) | 28.8 | 36.9 | 19.5
| SN(E/C) | 0.68
|
|
|
|
|
|
|
9080029
| 47
| | Red | Green | Blue
| z | | 18.90
| znorm | | 14.72
| sky | 14.3 | 14.2 | 14.4
| S/N | 13.1 | 21.3 | 23.7
| S/N(c) | 28.1 | 36.5 | 19.2
| SN(E/C) | 0.66
|
|
|
|
|
|
|
9080030
| 47
| | Red | Green | Blue
| z | | 18.91
| znorm | | 14.73
| sky | 14.2 | 14.1 | 14.5
| S/N | 12.9 | 21.2 | 24.0
| S/N(c) | 28.1 | 36.3 | 19.2
| SN(E/C) | 0.68
|
|
|
|
|
|
|
9080031
| 47
| | Red | Green | Blue
| z | | 18.98
| znorm | | 14.80
| sky | 14.2 | 14.2 | 14.4
| S/N | 13.8 | 22.3 | 25.1
| S/N(c) | 28.8 | 37.3 | 19.9
| SN(E/C) | 0.69
|
|
|
|
|
|
|
9080032
| 47
| | Red | Green | Blue
| z | | 19.03
| znorm | | 14.85
| sky | 14.2 | 14.2 | 14.4
| S/N | 14.3 | 22.8 | 25.8
| S/N(c) | 30.0 | 38.1 | 20.5
| SN(E/C) | 0.62
|
|
|
|
|
|
|
9080033
| 47
| | Red | Green | Blue
| z | | 19.02
| znorm | | 14.84
| sky | 14.1 | 14.2 | 14.4
| S/N | 14.2 | 22.8 | 25.7
| S/N(c) | 30.0 | 38.3 | 20.3
| SN(E/C) | 0.65
|
|
|
|
|
|
|