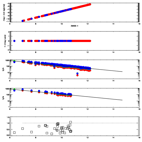
Left plots: red are targets, blue are telluric. Observed mags are calculated from median value of green chip. Zeropoint gives overall throughput: bigger number is more throughput.
First spatial plots: circles are objects, squares are tellurics, crosses are sky fibers. Colors give deviation of observed mag from expected 2MASS mag using the median zeropoint; red is brighter
Second spatial plots: circles are sky fibers. Colors give sky line brightness relative to plate median sky line brightness
FrameNreadsZeropointsMag plots Spatial mag deviation Spatial sky 16325A emission deviations (filled: sky, open: star) Spatial sky continuum emission Spatial sky telluric CO2 absorption deviations (filled: H < 10)
0 0
RedGreenBlue
z17.64
znorm Inf
sky -NaN -Inf -Inf
S/N 24.3 41.1 46.7
S/N(c) 0.0 0.0 0.0
SN(E/C) 0.56

IPAIRNAMESHIFTNEWSHIFTS/N NAMESHIFTNEWSHIFTS/N
0 09080028 0.482041 0.00000 18.9411 09080029 0.00400016 0.478041 18.9001
1 09080032 0.481298 0.000743002 19.0256 09080033 0.00365259 0.478388 19.0111
2 09080027 0.481441 0.000600010 19.0162 09080026 0.00000 0.482041 18.9791
3 09080031 0.479441 0.00260001 18.9685 09080030 0.00364107 0.478400 18.9029