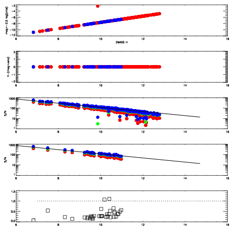
Left plots: red are targets, blue are telluric. Observed mags are calculated from median value of green chip. Zeropoint gives overall throughput: bigger number is more throughput.
First spatial plots: circles are objects, squares are tellurics, crosses are sky fibers. Colors give deviation of observed mag from expected 2MASS mag using the median zeropoint; red is brighter
Second spatial plots: circles are sky fibers. Colors give sky line brightness relative to plate median sky line brightness
FrameNreadsZeropointsMag plots Spatial mag deviation Spatial sky 16325A emission deviations (filled: sky, open: star) Spatial sky continuum emission Spatial sky telluric CO2 absorption deviations (filled: H < 10)
0 0
RedGreenBlue
z17.64
znorm Inf
sky -Inf -Inf -Inf
S/N 19.3 35.2 37.7
S/N(c) 0.0 0.0 0.0
SN(E/C) 0.28

IPAIRNAMESHIFTNEWSHIFTS/N NAMESHIFTNEWSHIFTS/N
0 07830073 0.475393 0.00000 18.3280 07830074 0.00110135 0.474292 18.3767
1 07830072 0.474790 0.000602990 18.6632 07830071 0.00000 0.475393 18.7217
2 07830077 0.474514 0.000878990 18.5855 07830078 0.00265594 0.472737 18.6476
3 07830076 0.473337 0.00205600 18.5602 07830075 0.000167999 0.475225 18.5263