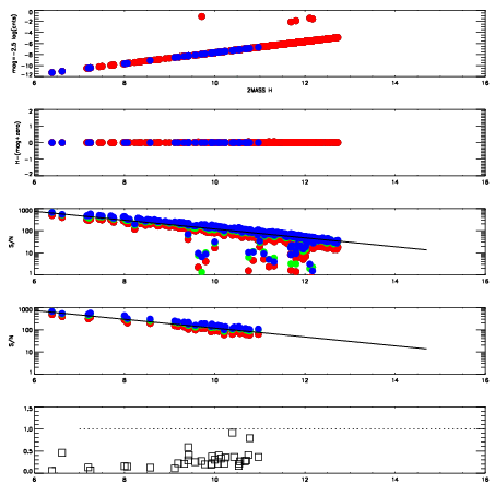
Left plots: red are targets, blue are telluric. Observed mags are calculated from median value of green chip. Zeropoint gives overall throughput: bigger number is more throughput.
First spatial plots: circles are objects, squares are tellurics, crosses are sky fibers. Colors give deviation of observed mag from expected 2MASS mag using the median zeropoint; red is brighter
Second spatial plots: circles are sky fibers. Colors give sky line brightness relative to plate median sky line brightness
FrameNreadsZeropointsMag plots Spatial mag deviation Spatial sky 16325A emission deviations (filled: sky, open: star) Spatial sky continuum emission Spatial sky telluric CO2 absorption deviations (filled: H < 10)
0 0
RedGreenBlue
z17.64
znorm Inf
sky -Inf -Inf -Inf
S/N 24.6 40.9 45.4
S/N(c) 0.0 0.0 0.0
SN(E/C) 0.27

IPAIRNAMESHIFTNEWSHIFTS/N NAMESHIFTNEWSHIFTS/N
0 08140072 0.508928 0.00000 18.9134 08140070 0.00000 0.508928 18.9863
1 08140075 0.507345 0.00158298 18.9796 08140073 -0.00132967 0.510258 19.0380
2 08140076 0.508426 0.000501990 18.9388 08140074 -0.00262880 0.511557 18.9920
3 08140071 0.507340 0.00158799 18.8786 08140077 0.000590819 0.508337 18.8643