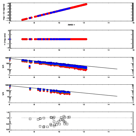
Left plots: red are targets, blue are telluric. Observed mags are calculated from median value of green chip. Zeropoint gives overall throughput: bigger number is more throughput.
First spatial plots: circles are objects, squares are tellurics, crosses are sky fibers. Colors give deviation of observed mag from expected 2MASS mag using the median zeropoint; red is brighter
Second spatial plots: circles are sky fibers. Colors give sky line brightness relative to plate median sky line brightness
FrameNreadsZeropointsMag plots Spatial mag deviation Spatial sky 16325A emission deviations (filled: sky, open: star) Spatial sky continuum emission Spatial sky telluric CO2 absorption deviations (filled: H < 10)
0 0
RedGreenBlue
z17.64
znorm Inf
sky -Inf -Inf -Inf
S/N 11.0 20.7 22.1
S/N(c) 0.0 0.0 0.0
SN(E/C) 0.73

IPAIRNAMESHIFTNEWSHIFTS/N NAMESHIFTNEWSHIFTS/N
0 08220039 2.03488 0.00000 17.8369 08220034 0.507537 1.52734 18.1801
1 08220040 1.50858 0.526300 18.5084 08220033 0.00000 2.03488 18.1981
2 08220038 2.03487 1.00136e-05 17.2925 08220037 1.50249 0.532390 17.9850