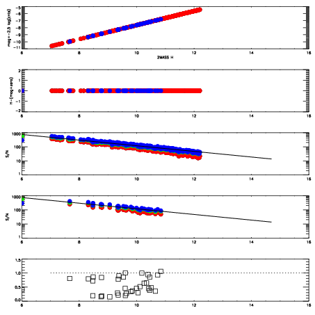
Left plots: red are targets, blue are telluric. Observed mags are calculated from median value of green chip. Zeropoint gives overall throughput: bigger number is more throughput.
First spatial plots: circles are objects, squares are tellurics, crosses are sky fibers. Colors give deviation of observed mag from expected 2MASS mag using the median zeropoint; red is brighter
Second spatial plots: circles are sky fibers. Colors give sky line brightness relative to plate median sky line brightness
FrameNreadsZeropointsMag plots Spatial mag deviation Spatial sky 16325A emission deviations (filled: sky, open: star) Spatial sky continuum emission Spatial sky telluric CO2 absorption deviations (filled: H < 10)
0 0
RedGreenBlue
z17.64
znorm Inf
sky -Inf -Inf -Inf
S/N 20.4 37.0 39.6
S/N(c) 0.0 0.0 0.0
SN(E/C) 0.48

IPAIRNAMESHIFTNEWSHIFTS/N NAMESHIFTNEWSHIFTS/N
0 08710034 0.473055 0.00000 18.5514 08710033 0.00000 0.473055 18.4369
1 08710038 0.467545 0.00551000 18.8763 08710037 -0.000350789 0.473406 18.8298
2 08710039 0.467592 0.00546300 18.7360 08710036 0.000552644 0.472502 18.8017
3 08710035 0.472956 9.90033e-05 18.7332 08710040 -0.00495515 0.478010 18.7287