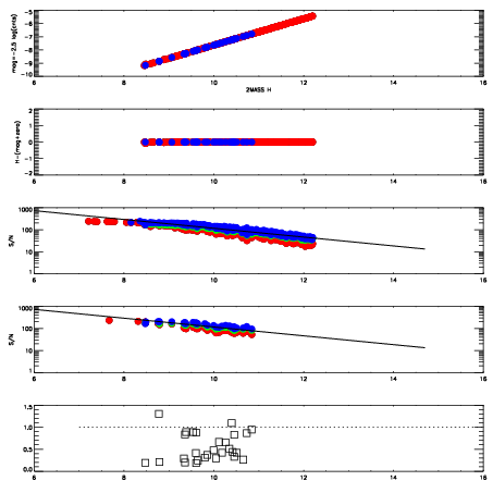
Left plots: red are targets, blue are telluric. Observed mags are calculated from median value of green chip. Zeropoint gives overall throughput: bigger number is more throughput.
First spatial plots: circles are objects, squares are tellurics, crosses are sky fibers. Colors give deviation of observed mag from expected 2MASS mag using the median zeropoint; red is brighter
Second spatial plots: circles are sky fibers. Colors give sky line brightness relative to plate median sky line brightness
FrameNreadsZeropointsMag plots Spatial mag deviation Spatial sky 16325A emission deviations (filled: sky, open: star) Spatial sky continuum emission Spatial sky telluric CO2 absorption deviations (filled: H < 10)
0 0
RedGreenBlue
z17.64
znorm Inf
sky -Inf -Inf -NaN
S/N 23.1 40.0 45.4
S/N(c) 0.0 0.0 0.0
SN(E/C) 0.44

IPAIRNAMESHIFTNEWSHIFTS/N NAMESHIFTNEWSHIFTS/N
0 09070031 0.480877 0.00000 19.0086 09070029 0.00413306 0.476744 19.0584
1 09070030 0.480819 5.80251e-05 19.0055 09070028 0.00409260 0.476784 19.0402
2 09070027 0.360040 0.120837 19.0019 09070032 0.00389914 0.476978 19.0224
3 09070026 0.294910 0.185967 18.9965 09070025 0.00000 0.480877 18.9883