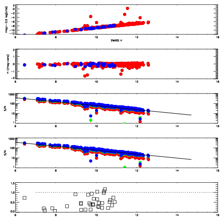
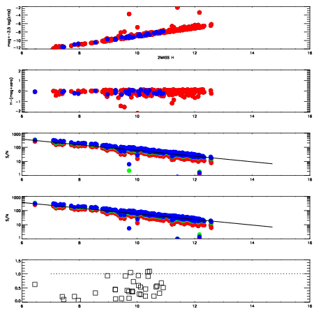
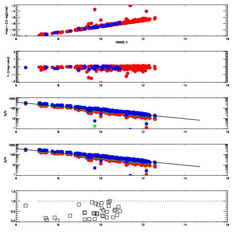
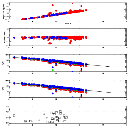
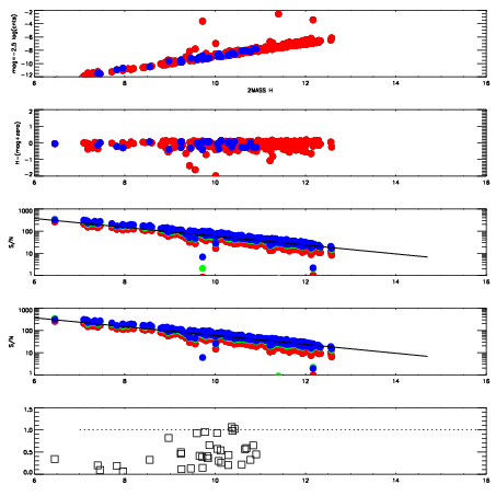
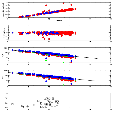
Frame | Nreads | Zeropoints | Mag plots
| Spatial mag deviation
| Spatial sky 16325A emission deviations (filled: sky, open: star)
| Spatial sky continuum emission
| Spatial sky telluric CO2 absorption deviations (filled: H < 10)
|
7890083
| 47
| | Red | Green | Blue
| z | | 18.97
| znorm | | 14.79
| sky | 14.8 | 14.4 | 14.6
| S/N | 15.5 | 24.0 | 24.8
| S/N(c) | 12.5 | 5.8 | 10.0
| SN(E/C) | 0.43
|
|
|
|
|
|
|
7890084
| 47
| | Red | Green | Blue
| z | | 18.97
| znorm | | 14.79
| sky | 14.9 | 14.5 | 14.8
| S/N | 15.3 | 24.0 | 25.0
| S/N(c) | 12.6 | 5.8 | 10.2
| SN(E/C) | 0.42
|
|
|
|
|
|
|
7890085
| 47
| | Red | Green | Blue
| z | | 18.99
| znorm | | 14.81
| sky | 14.9 | 14.5 | 14.7
| S/N | 15.5 | 24.0 | 25.6
| S/N(c) | 12.8 | 5.9 | 10.4
| SN(E/C) | 0.44
|
|
|
|
|
|
|
7890086
| 47
| | Red | Green | Blue
| z | | 18.98
| znorm | | 14.80
| sky | 14.9 | 14.6 | 14.7
| S/N | 15.5 | 23.9 | 25.5
| S/N(c) | 12.6 | 5.9 | 10.3
| SN(E/C) | 0.42
|
|
|
|
|
|
|
7890087
| 47
| | Red | Green | Blue
| z | | 18.98
| znorm | | 14.80
| sky | 14.8 | 14.6 | 14.7
| S/N | 15.3 | 23.6 | 25.7
| S/N(c) | 12.6 | 5.8 | 10.5
| SN(E/C) | 0.44
|
|
|
|
|
|
|
7890088
| 47
| | Red | Green | Blue
| z | | 18.95
| znorm | | 14.77
| sky | 15.0 | 14.6 | 14.7
| S/N | 15.1 | 23.4 | 25.5
| S/N(c) | 12.3 | 5.7 | 10.1
| SN(E/C) | 0.45
|
|
|
|
|
|
|
7890089
| 47
| | Red | Green | Blue
| z | | 18.83
| znorm | | 14.65
| sky | 15.2 | 14.7 | 14.7
| S/N | 13.8 | 21.6 | 24.0
| S/N(c) | 12.0 | 5.4 | 9.7
| SN(E/C) | 0.47
|
|
|
|
|
|
|
7890090
| 47
| | Red | Green | Blue
| z | | 18.91
| znorm | | 14.73
| sky | 14.9 | 14.6 | 14.6
| S/N | 14.7 | 22.6 | 25.3
| S/N(c) | 12.6 | 5.6 | 10.2
| SN(E/C) | 0.43
|
|
|
|
|
|
|