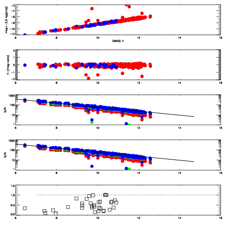
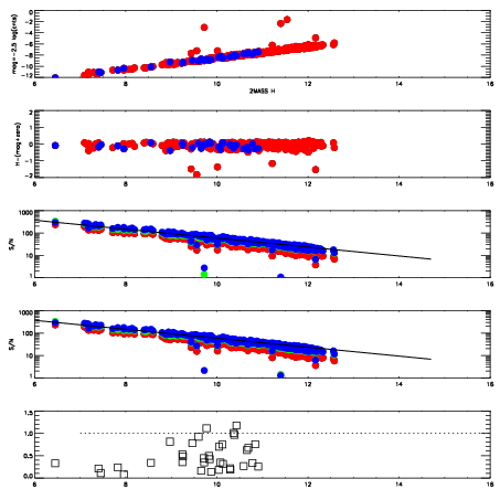
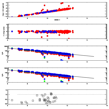
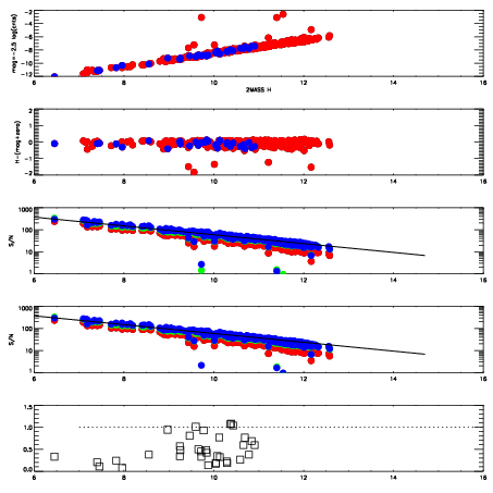
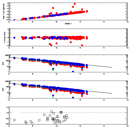
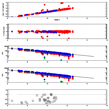
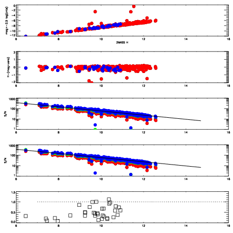
Frame | Nreads | Zeropoints | Mag plots
| Spatial mag deviation
| Spatial sky 16325A emission deviations (filled: sky, open: star)
| Spatial sky continuum emission
| Spatial sky telluric CO2 absorption deviations (filled: H < 10)
|
8440036
| 47
| | Red | Green | Blue
| z | | 18.68
| znorm | | 14.50
| sky | 14.9 | 14.5 | 14.5
| S/N | 12.1 | 19.7 | 20.5
| S/N(c) | 11.0 | 5.2 | 8.8
| SN(E/C) | 0.44
|
|
|
|
|
|
|
8440037
| 47
| | Red | Green | Blue
| z | | 18.65
| znorm | | 14.47
| sky | 14.8 | 14.5 | 14.7
| S/N | 11.8 | 19.7 | 20.5
| S/N(c) | 11.0 | 5.3 | 9.2
| SN(E/C) | 0.45
|
|
|
|
|
|
|
8440038
| 47
| | Red | Green | Blue
| z | | 18.59
| znorm | | 14.41
| sky | 14.7 | 14.7 | 14.8
| S/N | 11.2 | 19.1 | 19.5
| S/N(c) | 10.4 | 5.1 | 8.8
| SN(E/C) | 0.46
|
|
|
|
|
|
|
8440039
| 47
| | Red | Green | Blue
| z | | 18.56
| znorm | | 14.38
| sky | 14.7 | 14.5 | 14.9
| S/N | 11.1 | 18.5 | 19.7
| S/N(c) | 10.3 | 5.0 | 8.7
| SN(E/C) | 0.45
|
|
|
|
|
|
|
8440040
| 47
| | Red | Green | Blue
| z | | 18.61
| znorm | | 14.43
| sky | 14.9 | 14.8 | 14.8
| S/N | 11.5 | 19.2 | 19.9
| S/N(c) | 10.6 | 5.1 | 8.8
| SN(E/C) | 0.35
|
|
|
|
|
|
|
8440041
| 47
| | Red | Green | Blue
| z | | 18.61
| znorm | | 14.43
| sky | 14.7 | 14.7 | 14.8
| S/N | 11.3 | 19.3 | 20.2
| S/N(c) | 10.8 | 5.2 | 8.9
| SN(E/C) | 0.42
|
|
|
|
|
|
|
8440042
| 47
| | Red | Green | Blue
| z | | 18.68
| znorm | | 14.50
| sky | 15.0 | 14.6 | 14.8
| S/N | 12.0 | 19.9 | 21.4
| S/N(c) | 11.2 | 5.2 | 9.1
| SN(E/C) | 0.42
|
|
|
|
|
|
|
8440043
| 47
| | Red | Green | Blue
| z | | 18.68
| znorm | | 14.50
| sky | 14.9 | 14.8 | 15.0
| S/N | 11.8 | 20.2 | 21.5
| S/N(c) | 10.9 | 5.2 | 9.0
| SN(E/C) | 0.44
|
|
|
|
|
|
|