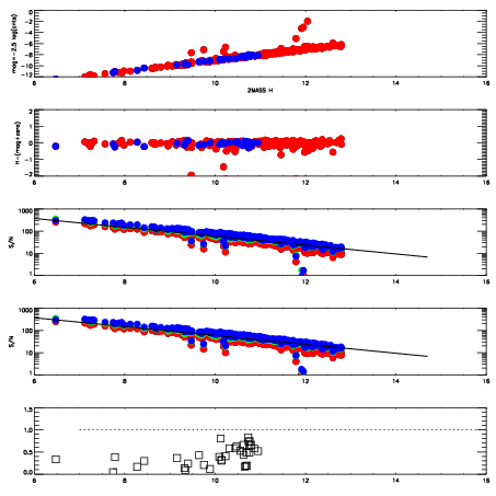
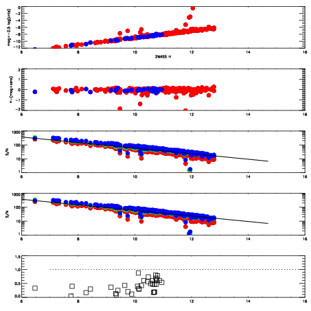
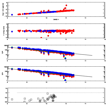
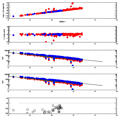
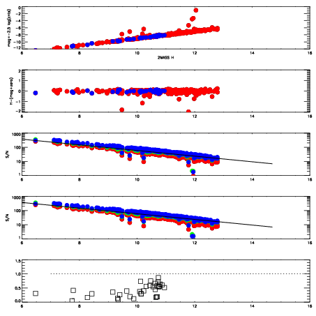
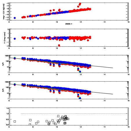
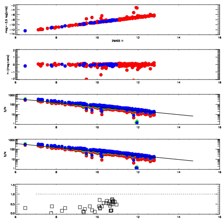
Frame | Nreads | Zeropoints | Mag plots
| Spatial mag deviation
| Spatial sky 16325A emission deviations (filled: sky, open: star)
| Spatial sky continuum emission
| Spatial sky telluric CO2 absorption deviations (filled: H < 10)
|
7910049
| 47
| | Red | Green | Blue
| z | | 19.07
| znorm | | 14.89
| sky | 15.0 | 14.4 | 14.2
| S/N | 14.5 | 23.8 | 25.4
| S/N(c) | 27.8 | 20.2 | 20.7
| SN(E/C) | 0.40
|
|
|
|
|
|
|
7910050
| 47
| | Red | Green | Blue
| z | | 19.10
| znorm | | 14.92
| sky | 14.6 | 14.5 | 14.5
| S/N | 14.5 | 24.4 | 26.2
| S/N(c) | 28.1 | 20.6 | 21.3
| SN(E/C) | 0.42
|
|
|
|
|
|
|
7910051
| 47
| | Red | Green | Blue
| z | | 19.03
| znorm | | 14.85
| sky | 14.8 | 14.5 | 14.5
| S/N | 14.0 | 23.6 | 25.4
| S/N(c) | 26.9 | 20.0 | 20.5
| SN(E/C) | 0.42
|
|
|
|
|
|
|
7910052
| 47
| | Red | Green | Blue
| z | | 19.05
| znorm | | 14.87
| sky | 14.7 | 14.6 | 14.5
| S/N | 14.3 | 24.0 | 25.5
| S/N(c) | 27.1 | 20.2 | 20.7
| SN(E/C) | 0.40
|
|
|
|
|
|
|
7910053
| 47
| | Red | Green | Blue
| z | | 19.09
| znorm | | 14.91
| sky | 14.6 | 14.6 | 14.5
| S/N | 14.5 | 24.4 | 26.0
| S/N(c) | 27.9 | 20.6 | 21.3
| SN(E/C) | 0.40
|
|
|
|
|
|
|
7910054
| 47
| | Red | Green | Blue
| z | | 19.07
| znorm | | 14.89
| sky | 14.7 | 14.5 | 14.4
| S/N | 14.4 | 24.5 | 25.9
| S/N(c) | 27.5 | 20.4 | 21.1
| SN(E/C) | 0.39
|
|
|
|
|
|
|
7910055
| 47
| | Red | Green | Blue
| z | | 19.04
| znorm | | 14.86
| sky | 14.5 | 14.5 | 14.4
| S/N | 14.1 | 23.9 | 25.3
| S/N(c) | 27.2 | 20.1 | 20.9
| SN(E/C) | 0.43
|
|
|
|
|
|
|
7910056
| 47
| | Red | Green | Blue
| z | | 19.04
| znorm | | 14.86
| sky | 14.8 | 14.4 | 14.4
| S/N | 14.2 | 24.0 | 25.3
| S/N(c) | 26.9 | 20.2 | 21.0
| SN(E/C) | 0.39
|
|
|
|
|
|
|