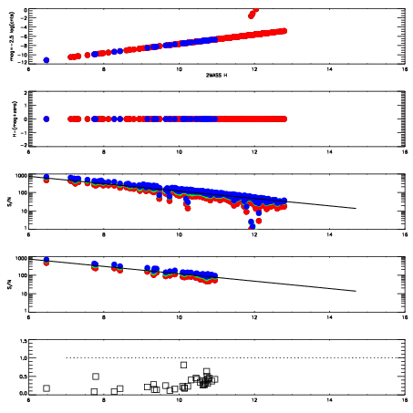
Left plots: red are targets, blue are telluric. Observed mags are calculated from median value of green chip. Zeropoint gives overall throughput: bigger number is more throughput.
First spatial plots: circles are objects, squares are tellurics, crosses are sky fibers. Colors give deviation of observed mag from expected 2MASS mag using the median zeropoint; red is brighter
Second spatial plots: circles are sky fibers. Colors give sky line brightness relative to plate median sky line brightness
FrameNreadsZeropointsMag plots Spatial mag deviation Spatial sky 16325A emission deviations (filled: sky, open: star) Spatial sky continuum emission Spatial sky telluric CO2 absorption deviations (filled: H < 10)
0 0
RedGreenBlue
z17.64
znorm Inf
sky -NaN -NaN -Inf
S/N 22.0 40.0 43.2
S/N(c) 0.0 0.0 0.0
SN(E/C) 0.29

IPAIRNAMESHIFTNEWSHIFTS/N NAMESHIFTNEWSHIFTS/N
0 08140065 0.508434 0.00000 18.8943 08140062 -0.00213407 0.510568 18.8993
1 08140064 0.503386 0.00504798 18.9403 08140063 -0.00422079 0.512655 18.9394
2 08140060 0.505427 0.00300699 18.9330 08140059 0.00000 0.508434 18.9358
3 08140061 0.505236 0.00319797 18.9233 08140066 -0.00256807 0.511002 18.9227