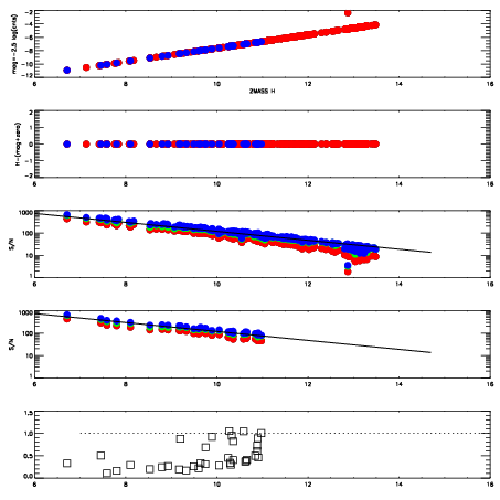
Left plots: red are targets, blue are telluric. Observed mags are calculated from median value of green chip. Zeropoint gives overall throughput: bigger number is more throughput.
First spatial plots: circles are objects, squares are tellurics, crosses are sky fibers. Colors give deviation of observed mag from expected 2MASS mag using the median zeropoint; red is brighter
Second spatial plots: circles are sky fibers. Colors give sky line brightness relative to plate median sky line brightness
FrameNreadsZeropointsMag plots Spatial mag deviation Spatial sky 16325A emission deviations (filled: sky, open: star) Spatial sky continuum emission Spatial sky telluric CO2 absorption deviations (filled: H < 10)
0 0
RedGreenBlue
z17.64
znorm Inf
sky -Inf -Inf -Inf
S/N 23.4 41.4 43.9
S/N(c) 0.0 0.0 0.0
SN(E/C) 0.38

IPAIRNAMESHIFTNEWSHIFTS/N NAMESHIFTNEWSHIFTS/N
0 08140087 0.510756 0.00000 18.9185 08140085 -0.00262318 0.513379 18.8273
1 08140086 0.505846 0.00490999 18.9353 08140088 -0.00335763 0.514114 18.8952
2 08140082 0.505555 0.00520104 18.7496 08140081 0.00000 0.510756 18.7294
3 08140083 0.508593 0.00216299 18.4830 08140084 -0.00255318 0.513309 18.7165