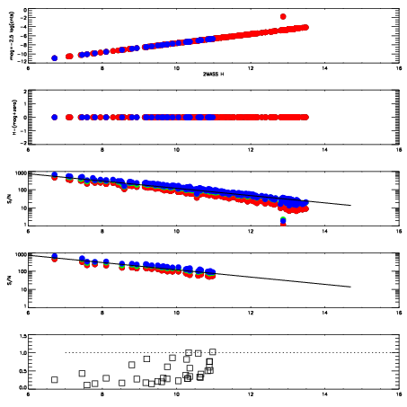
Left plots: red are targets, blue are telluric. Observed mags are calculated from median value of green chip. Zeropoint gives overall throughput: bigger number is more throughput.
First spatial plots: circles are objects, squares are tellurics, crosses are sky fibers. Colors give deviation of observed mag from expected 2MASS mag using the median zeropoint; red is brighter
Second spatial plots: circles are sky fibers. Colors give sky line brightness relative to plate median sky line brightness
FrameNreadsZeropointsMag plots Spatial mag deviation Spatial sky 16325A emission deviations (filled: sky, open: star) Spatial sky continuum emission Spatial sky telluric CO2 absorption deviations (filled: H < 10)
0 0
RedGreenBlue
z17.64
znorm Inf
sky -Inf -Inf -NaN
S/N 25.5 42.8 47.5
S/N(c) 0.0 0.0 0.0
SN(E/C) 0.34

IPAIRNAMESHIFTNEWSHIFTS/N NAMESHIFTNEWSHIFTS/N
0 08220028 0.507920 0.00000 18.8035 08220029 0.000452701 0.507467 18.8531
1 08220027 0.506789 0.00113100 19.0875 08220025 -0.00144152 0.509362 19.0023
2 08220024 0.507634 0.000286043 18.8981 08220026 -0.000446661 0.508367 18.9996
3 08220023 0.507609 0.000311017 18.8025 08220022 0.00000 0.507920 18.8248