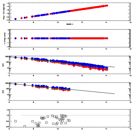
Left plots: red are targets, blue are telluric. Observed mags are calculated from median value of green chip. Zeropoint gives overall throughput: bigger number is more throughput.
First spatial plots: circles are objects, squares are tellurics, crosses are sky fibers. Colors give deviation of observed mag from expected 2MASS mag using the median zeropoint; red is brighter
Second spatial plots: circles are sky fibers. Colors give sky line brightness relative to plate median sky line brightness
FrameNreadsZeropointsMag plots Spatial mag deviation Spatial sky 16325A emission deviations (filled: sky, open: star) Spatial sky continuum emission Spatial sky telluric CO2 absorption deviations (filled: H < 10)
0 0
RedGreenBlue
z17.64
znorm Inf
sky -Inf -Inf -Inf
S/N 26.1 42.5 48.3
S/N(c) 0.0 0.0 0.0
SN(E/C) 0.59

IPAIRNAMESHIFTNEWSHIFTS/N NAMESHIFTNEWSHIFTS/N
0 08490043 0.486711 0.00000 18.9556 08490041 0.000511158 0.486200 18.9398
1 08490039 0.481788 0.00492299 18.9841 08490044 0.000394350 0.486317 18.9634
2 08490038 0.481548 0.00516298 18.9537 08490037 0.00000 0.486711 18.9136
3 08490042 0.485576 0.00113499 18.9329 08490040 0.000753990 0.485957 18.9000