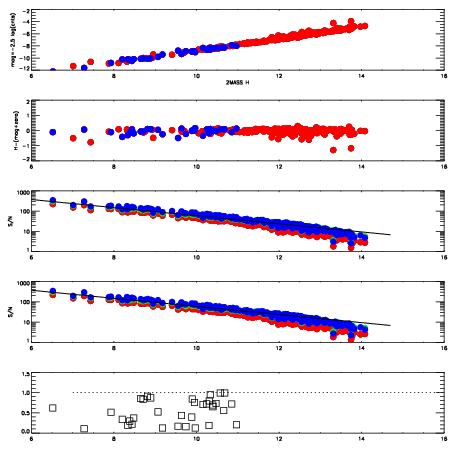
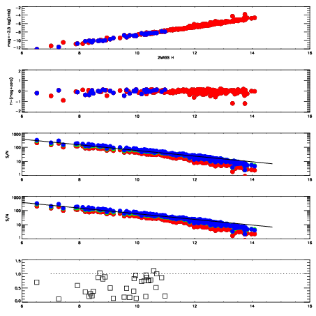
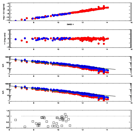
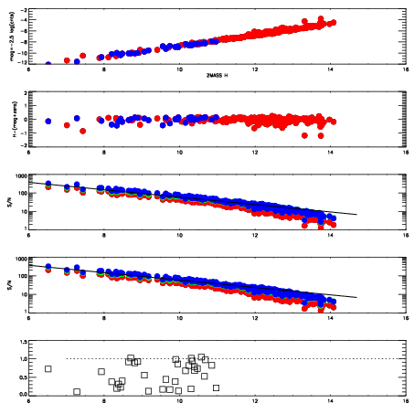
Left plots: red are targets, blue are telluric. Observed mags are calculated from median value of green chip. Zeropoint gives overall throughput: bigger number is more throughput.
First spatial plots: circles are objects, squares are tellurics, crosses are sky fibers. Colors give deviation of observed mag from expected 2MASS mag using the median zeropoint; red is brighter
Second spatial plots: circles are sky fibers. Colors give sky line brightness relative to plate median sky line brightness
FrameNreadsZeropointsMag plots Spatial mag deviation Spatial sky 16325A emission deviations (filled: sky, open: star) Spatial sky continuum emission Spatial sky telluric CO2 absorption deviations (filled: H < 10)
12880009 47
RedGreenBlue
z18.84
znorm14.66
sky 14.1 13.8 13.7
S/N 13.9 22.1 20.9
S/N(c) 29.3 14.7 8.5
SN(E/C) 0.62
12880010 47
RedGreenBlue
z18.76
znorm14.58
sky 14.0 13.9 13.9
S/N 12.7 20.7 19.6
S/N(c) 27.7 14.1 8.1
SN(E/C) 0.66
12880011 47
RedGreenBlue
z18.75
znorm14.57
sky 14.1 14.0 13.9
S/N 12.2 20.0 19.1
S/N(c) 27.0 13.8 8.0
SN(E/C) 0.70
12880012 47
RedGreenBlue
z18.76
znorm14.58
sky 14.1 13.8 13.8
S/N 12.3 20.7 19.5
S/N(c) 27.3 14.1 8.0
SN(E/C) 0.67