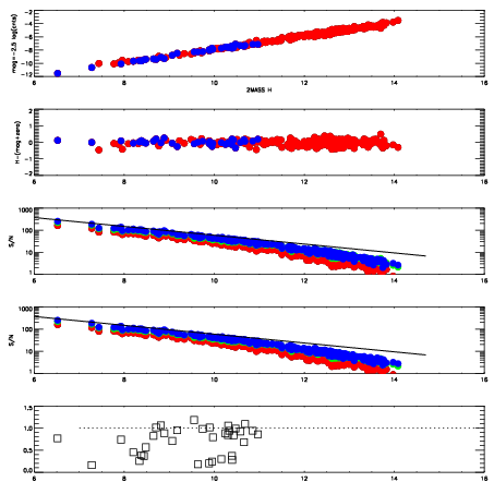
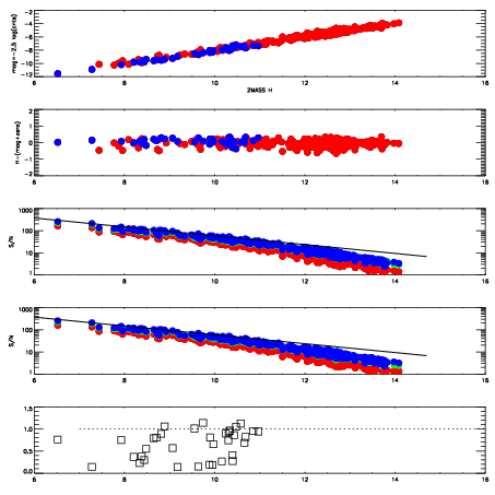
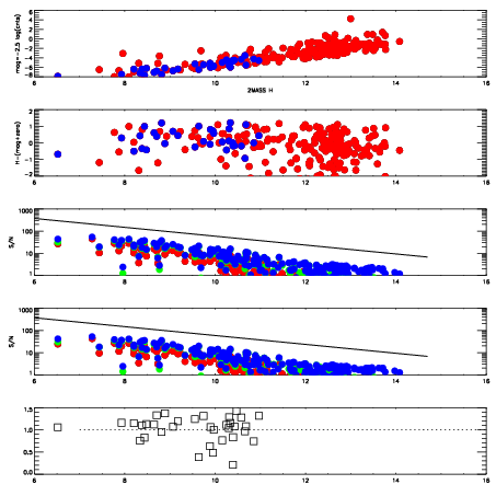
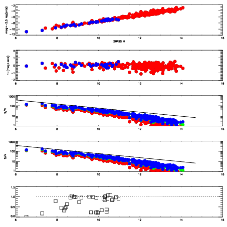
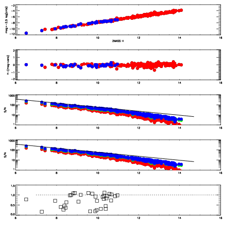
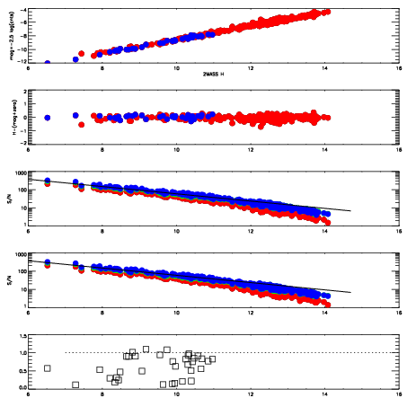
Frame | Nreads | Zeropoints | Mag plots
| Spatial mag deviation
| Spatial sky 16325A emission deviations (filled: sky, open: star)
| Spatial sky continuum emission
| Spatial sky telluric CO2 absorption deviations (filled: H < 10)
|
12810010
| 47
| | Red | Green | Blue
| z | | 13.97
| znorm | | 9.79
| sky | 13.9 | 13.7 | 13.9
| S/N | 0.0 | 0.5 | 1.4
| S/N(c) | 0.3 | 0.6 | 0.3
| SN(E/C) | 1.07
|
|
|
|
|
|
|
12810011
| 47
| | Red | Green | Blue
| z | | 13.80
| znorm | | 9.62
| sky | 14.0 | 14.0 | 14.4
| S/N | 0.1 | 0.1 | 0.6
| S/N(c) | 0.0 | 0.0 | 0.0
| SN(E/C) | 7.52
|
|
|
|
|
|
|
12810012
| 47
| | Red | Green | Blue
| z | | 15.09
| znorm | | 10.91
| sky | 13.9 | 13.8 | 14.0
| S/N | 0.4 | 0.4 | 1.3
| S/N(c) | 1.0 | 2.5 | 0.8
| SN(E/C) | 1.07
|
|
|
|
|
|
|
12810013
| 47
| | Red | Green | Blue
| z | | 17.45
| znorm | | 13.27
| sky | 14.0 | 14.1 | 14.3
| S/N | 3.3 | 7.1 | 7.3
| S/N(c) | 6.1 | 13.5 | 4.4
| SN(E/C) | 0.84
|
|
|
|
|
|
|
12810014
| 47
| | Red | Green | Blue
| z | | 16.66
| znorm | | 12.48
| sky | 14.0 | 14.0 | 14.2
| S/N | 1.7 | 3.8 | 4.5
| S/N(c) | 3.8 | 9.3 | 2.9
| SN(E/C) | 0.90
|
|
|
|
|
|
|
12810015
| 47
| | Red | Green | Blue
| z | | 13.31
| znorm | | 9.13
| sky | 14.2 | 14.3 | 14.8
| S/N | -0.0 | -0.1 | 0.9
| S/N(c) | 0.0 | 0.0 | 0.0
| SN(E/C) | 3.97
|
|
|
|
|
|
|
12810016
| 47
| | Red | Green | Blue
| z | | 13.49
| znorm | | 9.31
| sky | 13.9 | 14.0 | 14.3
| S/N | -0.0 | -0.2 | 1.1
| S/N(c) | 0.0 | 0.0 | 0.0
| SN(E/C) | 5.51
|
|
|
|
|
|
|
12810017
| 47
| | Red | Green | Blue
| z | | 18.03
| znorm | | 13.85
| sky | 14.1 | 14.1 | 14.3
| S/N | 6.0 | 11.7 | 12.1
| S/N(c) | 9.0 | 19.0 | 6.0
| SN(E/C) | 0.75
|
|
|
|
|
|
|
12810018
| 47
| | Red | Green | Blue
| z | | 18.60
| znorm | | 14.42
| sky | 14.2 | 14.2 | 14.3
| S/N | 9.8 | 17.8 | 17.5
| S/N(c) | 12.7 | 25.4 | 8.3
| SN(E/C) | 0.68
|
|
|
|
|
|
|
12810019
| 47
| | Red | Green | Blue
| z | | 17.92
| znorm | | 13.74
| sky | 14.5 | 14.4 | 14.5
| S/N | 6.4 | 12.0 | 12.4
| S/N(c) | 8.2 | 17.7 | 5.8
| SN(E/C) | 0.82
|
|
|
|
|
|
|
12810020
| 47
| | Red | Green | Blue
| z | | 17.92
| znorm | | 13.74
| sky | 14.4 | 14.5 | 14.8
| S/N | 6.4 | 12.3 | 12.4
| S/N(c) | 7.9 | 16.9 | 5.8
| SN(E/C) | 0.80
|
|
|
|
|
|
|
12810021
| 47
| | Red | Green | Blue
| z | | 13.59
| znorm | | 9.41
| sky | 14.9 | 15.5 | 17.0
| S/N | -0.1 | 0.2 | 1.1
| S/N(c) | 0.0 | 0.0 | 0.0
| SN(E/C) | 1.85
|
|
|
|
|
|
|