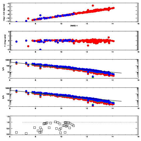
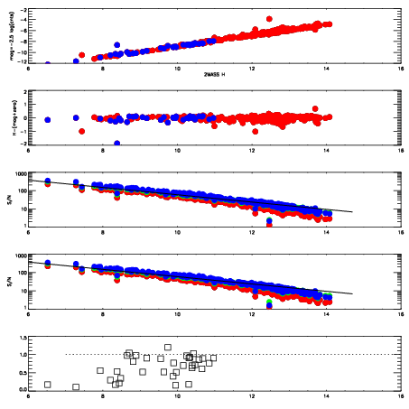
Frame | Nreads | Zeropoints | Mag plots
| Spatial mag deviation
| Spatial sky 16325A emission deviations (filled: sky, open: star)
| Spatial sky continuum emission
| Spatial sky telluric CO2 absorption deviations (filled: H < 10)
|
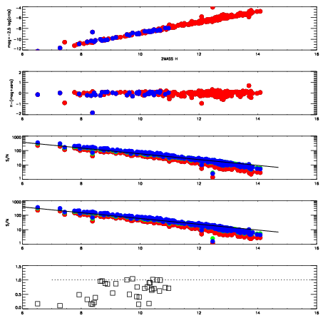
12870004
| 47
| | Red | Green | Blue
| z | | 18.88
| znorm | | 14.70
| sky | 13.6 | 13.6 | 13.5
| S/N | 12.0 | 20.5 | 21.1
| S/N(c) | 20.6 | 32.4 | 45.3
| SN(E/C) | 0.70
|
|
|
|
|
|
|
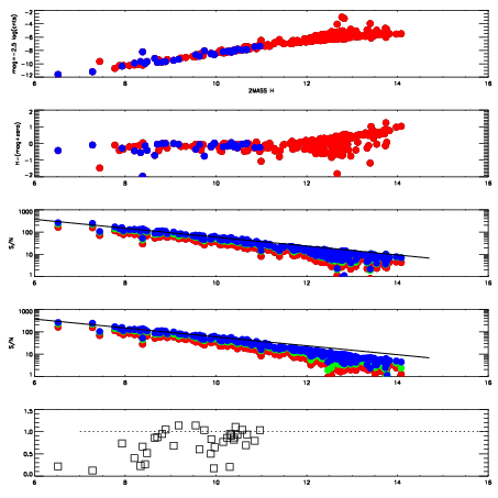
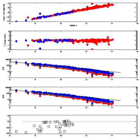
12870005
| 47
| | Red | Green | Blue
| z | | 18.90
| znorm | | 14.72
| sky | 13.8 | 13.8 | 13.8
| S/N | 11.5 | 20.3 | 21.2
| S/N(c) | 20.5 | 33.0 | 45.7
| SN(E/C) | 0.70
|
|
|
|
|
|
|
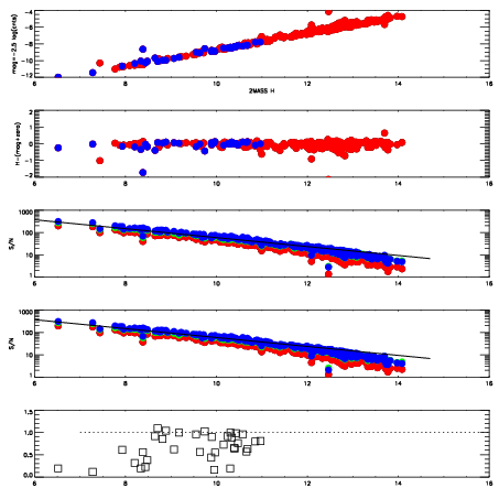
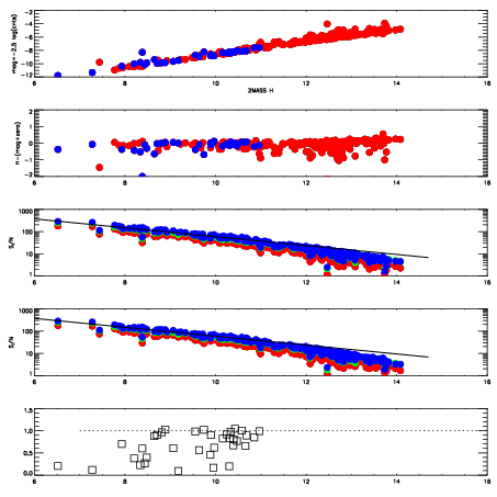
12870006
| 47
| | Red | Green | Blue
| z | | 18.84
| znorm | | 14.66
| sky | 13.5 | 13.4 | 13.4
| S/N | 10.6 | 18.8 | 19.8
| S/N(c) | 19.6 | 32.3 | 43.8
| SN(E/C) | 0.72
|
|
|
|
|
|
|
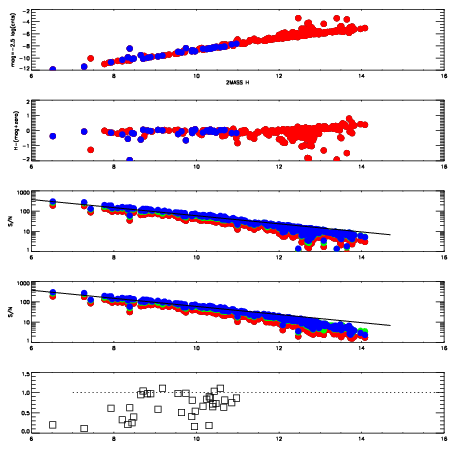
12870007
| 47
| | Red | Green | Blue
| z | | 18.73
| znorm | | 14.55
| sky | 13.3 | 13.3 | 13.3
| S/N | 9.5 | 17.0 | 17.7
| S/N(c) | 18.1 | 29.9 | 40.8
| SN(E/C) | 0.73
|
|
|
|
|
|
|
12870008
| 47
| | Red | Green | Blue
| z | | 18.74
| znorm | | 14.56
| sky | 13.9 | 13.8 | 13.8
| S/N | 10.3 | 18.3 | 19.2
| S/N(c) | 18.3 | 30.8 | 42.1
| SN(E/C) | 0.65
|
|
|
|
|
|
|
12870009
| 47
| | Red | Green | Blue
| z | | 18.77
| znorm | | 14.59
| sky | 12.7 | 12.7 | 12.7
| S/N | 9.4 | 15.5 | 15.6
| S/N(c) | 16.9 | 28.1 | 38.8
| SN(E/C) | 0.72
|
|
|
|
|
|
|
12870010
| 47
| | Red | Green | Blue
| z | | 18.55
| znorm | | 14.37
| sky | 12.4 | 12.4 | 12.4
| S/N | 8.8 | 14.7 | 15.3
| S/N(c) | 13.5 | 23.5 | 32.3
| SN(E/C) | 0.81
|
|
|
|
|
|
|
12870011
| 47
| | Red | Green | Blue
| z | | 18.67
| znorm | | 14.49
| sky | 12.9 | 12.8 | 12.9
| S/N | 8.2 | 14.4 | 14.3
| S/N(c) | 16.3 | 27.7 | 39.0
| SN(E/C) | 0.77
|
|
|
|
|
|
|