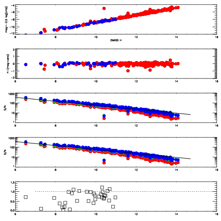
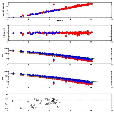
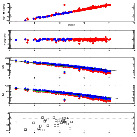
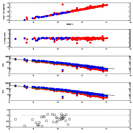
Left plots: red are targets, blue are telluric. Observed mags are calculated from median value of green chip. Zeropoint gives overall throughput: bigger number is more throughput.
First spatial plots: circles are objects, squares are tellurics, crosses are sky fibers. Colors give deviation of observed mag from expected 2MASS mag using the median zeropoint; red is brighter
Second spatial plots: circles are sky fibers. Colors give sky line brightness relative to plate median sky line brightness
FrameNreadsZeropointsMag plots Spatial mag deviation Spatial sky 16325A emission deviations (filled: sky, open: star) Spatial sky continuum emission Spatial sky telluric CO2 absorption deviations (filled: H < 10)
12340011 47
RedGreenBlue
z18.75
znorm14.57
sky 14.2 14.1 14.1
S/N 13.8 22.4 23.0
S/N(c) 5.5 20.4 27.3
SN(E/C) 0.70
12340012 47
RedGreenBlue
z18.89
znorm14.71
sky 14.5 14.4 14.3
S/N 14.5 23.2 23.4
S/N(c) 5.8 21.8 29.5
SN(E/C) 0.71
12340013 47
RedGreenBlue
z18.86
znorm14.68
sky 14.5 14.5 14.3
S/N 14.1 22.4 22.6
S/N(c) 5.7 21.0 29.2
SN(E/C) 0.70
12340014 47
RedGreenBlue
z18.89
znorm14.71
sky 14.6 14.5 14.3
S/N 14.3 23.3 24.1
S/N(c) 5.8 21.8 30.5
SN(E/C) 0.71
12340015 47
RedGreenBlue
z18.99
znorm14.81
sky 14.5 14.4 14.3
S/N 15.4 24.3 25.4
S/N(c) 6.1 22.9 31.6
SN(E/C) 0.66
12340016 47
RedGreenBlue
z19.03
znorm14.85
sky 14.4 14.4 14.3
S/N 15.5 24.5 25.4
S/N(c) 6.1 22.8 32.6
SN(E/C) 0.67