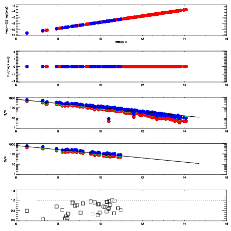
Left plots: red are targets, blue are telluric. Observed mags are calculated from median value of green chip. Zeropoint gives overall throughput: bigger number is more throughput.
First spatial plots: circles are objects, squares are tellurics, crosses are sky fibers. Colors give deviation of observed mag from expected 2MASS mag using the median zeropoint; red is brighter
Second spatial plots: circles are sky fibers. Colors give sky line brightness relative to plate median sky line brightness
FrameNreadsZeropointsMag plots Spatial mag deviation Spatial sky 16325A emission deviations (filled: sky, open: star) Spatial sky continuum emission Spatial sky telluric CO2 absorption deviations (filled: H < 10)
0 0
RedGreenBlue
z17.64
znorm Inf
sky -Inf -Inf -Inf
S/N 22.0 36.0 39.3
S/N(c) 0.0 0.0 0.0
SN(E/C) 0.67

IPAIRNAMESHIFTNEWSHIFTS/N NAMESHIFTNEWSHIFTS/N
0 12340016 0.490682 0.00000 19.0131 12340015 -0.00535080 0.496033 18.9767
1 12340012 0.489026 0.00165600 18.8787 12340014 -0.00554430 0.496226 18.8875
2 12340013 0.488978 0.00170401 18.8468 12340011 0.00000 0.490682 18.7469