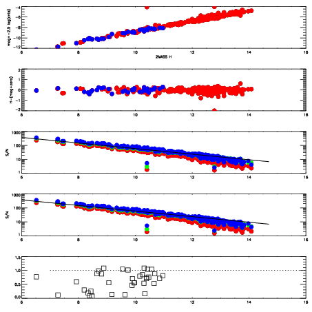
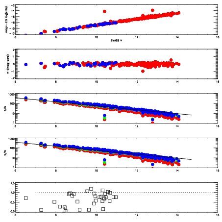
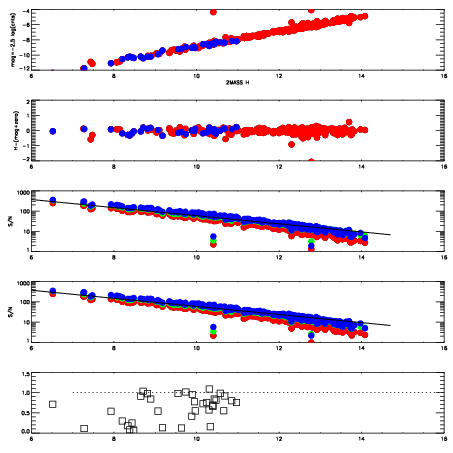
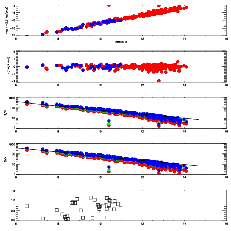
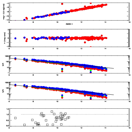
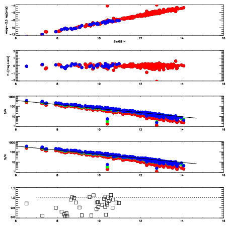
Frame | Nreads | Zeropoints | Mag plots
| Spatial mag deviation
| Spatial sky 16325A emission deviations (filled: sky, open: star)
| Spatial sky continuum emission
| Spatial sky telluric CO2 absorption deviations (filled: H < 10)
|
12740021
| 47
| | Red | Green | Blue
| z | | 18.72
| znorm | | 14.54
| sky | 14.0 | 13.7 | 13.5
| S/N | 13.6 | 20.4 | 22.0
| S/N(c) | 19.2 | 7.2 | 20.3
| SN(E/C) | 0.72
|
|
|
|
|
|
|
12740022
| 47
| | Red | Green | Blue
| z | | 18.78
| znorm | | 14.60
| sky | 14.2 | 13.9 | 13.8
| S/N | 14.2 | 21.3 | 23.2
| S/N(c) | 20.7 | 7.6 | 21.2
| SN(E/C) | 0.72
|
|
|
|
|
|
|
12740023
| 47
| | Red | Green | Blue
| z | | 18.82
| znorm | | 14.64
| sky | 14.2 | 13.9 | 13.9
| S/N | 13.9 | 22.0 | 23.8
| S/N(c) | 21.5 | 7.8 | 21.7
| SN(E/C) | 0.70
|
|
|
|
|
|
|
12740024
| 47
| | Red | Green | Blue
| z | | 18.87
| znorm | | 14.69
| sky | 14.1 | 14.0 | 13.9
| S/N | 14.2 | 22.6 | 24.7
| S/N(c) | 22.0 | 8.0 | 22.3
| SN(E/C) | 0.71
|
|
|
|
|
|
|
12740025
| 47
| | Red | Green | Blue
| z | | 18.93
| znorm | | 14.75
| sky | 14.3 | 14.0 | 14.0
| S/N | 14.8 | 24.1 | 25.7
| S/N(c) | 22.5 | 8.2 | 23.3
| SN(E/C) | 0.71
|
|
|
|
|
|
|
12740026
| 47
| | Red | Green | Blue
| z | | 18.89
| znorm | | 14.71
| sky | 14.2 | 14.1 | 14.1
| S/N | 14.4 | 23.5 | 25.6
| S/N(c) | 22.1 | 8.1 | 22.9
| SN(E/C) | 0.71
|
|
|
|
|
|
|
12740027
| 47
| | Red | Green | Blue
| z | | 18.95
| znorm | | 14.77
| sky | 14.2 | 14.1 | 14.0
| S/N | 14.6 | 24.0 | 25.5
| S/N(c) | 22.6 | 8.4 | 23.6
| SN(E/C) | 0.69
|
|
|
|
|
|
|
12740028
| 47
| | Red | Green | Blue
| z | | 18.99
| znorm | | 14.81
| sky | 14.3 | 14.1 | 14.1
| S/N | 15.1 | 25.3 | 26.7
| S/N(c) | 23.0 | 8.6 | 24.3
| SN(E/C) | 0.69
|
|
|
|
|
|
|