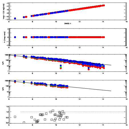
Left plots: red are targets, blue are telluric. Observed mags are calculated from median value of green chip. Zeropoint gives overall throughput: bigger number is more throughput.
First spatial plots: circles are objects, squares are tellurics, crosses are sky fibers. Colors give deviation of observed mag from expected 2MASS mag using the median zeropoint; red is brighter
Second spatial plots: circles are sky fibers. Colors give sky line brightness relative to plate median sky line brightness
FrameNreadsZeropointsMag plots Spatial mag deviation Spatial sky 16325A emission deviations (filled: sky, open: star) Spatial sky continuum emission Spatial sky telluric CO2 absorption deviations (filled: H < 10)
0 0
RedGreenBlue
z17.64
znorm Inf
sky -Inf -Inf -Inf
S/N 25.5 42.7 46.5
S/N(c) 0.0 0.0 0.0
SN(E/C) 0.64

IPAIRNAMESHIFTNEWSHIFTS/N NAMESHIFTNEWSHIFTS/N
0 12740027 0.483659 0.00000 18.9442 12740028 -0.00167755 0.485337 18.9795
1 12740026 0.482215 0.00144401 18.8883 12740025 -0.00472475 0.488384 18.9181
2 12740023 0.483427 0.000232011 18.8044 12740024 -0.00484353 0.488503 18.8668
3 12740022 0.483122 0.000537008 18.7547 12740021 0.00000 0.483659 18.6697