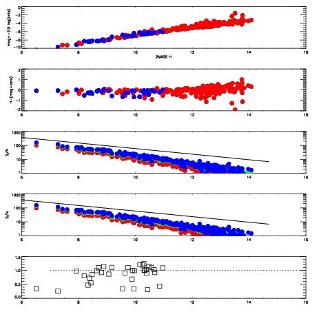
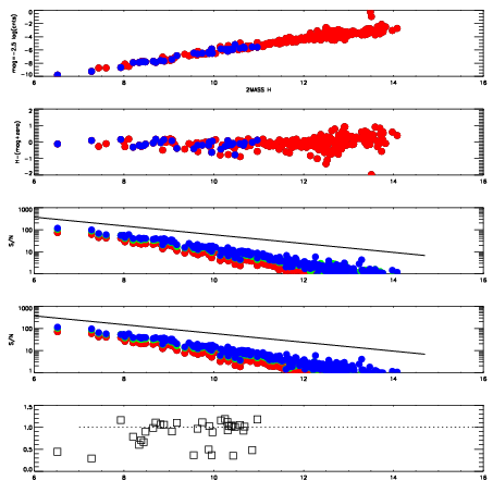
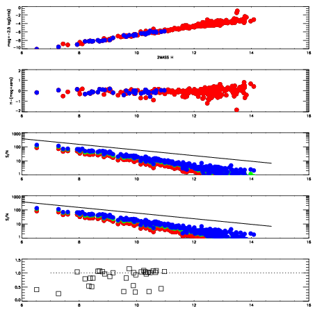
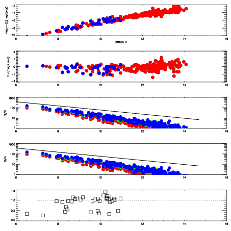
Frame | Nreads | Zeropoints | Mag plots
| Spatial mag deviation
| Spatial sky 16325A emission deviations (filled: sky, open: star)
| Spatial sky continuum emission
| Spatial sky telluric CO2 absorption deviations (filled: H < 10)
|
12320033
| 47
| | Red | Green | Blue
| z | | 16.79
| znorm | | 12.61
| sky | 12.5 | 12.4 | 12.4
| S/N | 1.9 | 3.0 | 2.9
| S/N(c) | 0.9 | 1.2 | 1.5
| SN(E/C) | 0.96
|
|
|
|
|
|
|
12320034
| 47
| | Red | Green | Blue
| z | | 15.56
| znorm | | 11.38
| sky | 12.5 | 12.4 | 12.5
| S/N | 0.8 | 1.3 | 1.5
| S/N(c) | 0.3 | 0.4 | 0.7
| SN(E/C) | 1.06
|
|
|
|
|
|
|
12320035
| 47
| | Red | Green | Blue
| z | | 16.42
| znorm | | 12.24
| sky | 12.4 | 12.4 | 12.5
| S/N | 1.2 | 2.3 | 2.4
| S/N(c) | 0.7 | 1.0 | 1.3
| SN(E/C) | 0.98
|
|
|
|
|
|
|
12320036
| 47
| | Red | Green | Blue
| z | | 16.89
| znorm | | 12.71
| sky | 12.4 | 12.3 | 12.4
| S/N | 2.0 | 3.8 | 3.7
| S/N(c) | 1.0 | 1.4 | 1.9
| SN(E/C) | 0.94
|
|
|
|
|
|
|
12320037
| 47
| | Red | Green | Blue
| z | | 17.02
| znorm | | 12.84
| sky | 12.4 | 12.3 | 12.3
| S/N | 2.5 | 4.3 | 3.8
| S/N(c) | 1.1 | 1.5 | 2.1
| SN(E/C) | 0.97
|
|
|
|
|
|
|
12320038
| 47
| | Red | Green | Blue
| z | | 16.77
| znorm | | 12.59
| sky | 12.4 | 12.4 | 12.5
| S/N | 1.8 | 3.2 | 3.4
| S/N(c) | 1.0 | 1.3 | 1.9
| SN(E/C) | 1.01
|
|
|
|
|
|
|
12320039
| 47
| | Red | Green | Blue
| z | | 17.19
| znorm | | 13.01
| sky | 12.4 | 12.3 | 12.3
| S/N | 2.8 | 4.7 | 4.6
| S/N(c) | 1.4 | 1.9 | 2.5
| SN(E/C) | 0.96
|
|
|
|
|
|
|
12320040
| 47
| | Red | Green | Blue
| z | | 18.51
| znorm | | 14.33
| sky | 12.8 | 12.8 | 12.8
| S/N | 8.9 | 14.6 | 15.3
| S/N(c) | 4.2 | 5.0 | 6.6
| SN(E/C) | 0.75
|
|
|
|
|
|
|