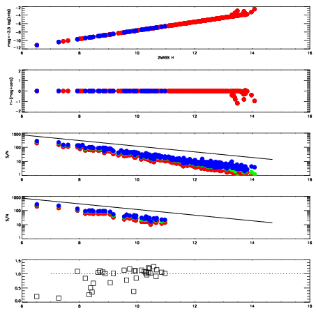
Left plots: red are targets, blue are telluric. Observed mags are calculated from median value of green chip. Zeropoint gives overall throughput: bigger number is more throughput.
First spatial plots: circles are objects, squares are tellurics, crosses are sky fibers. Colors give deviation of observed mag from expected 2MASS mag using the median zeropoint; red is brighter
Second spatial plots: circles are sky fibers. Colors give sky line brightness relative to plate median sky line brightness
FrameNreadsZeropointsMag plots Spatial mag deviation Spatial sky 16325A emission deviations (filled: sky, open: star) Spatial sky continuum emission Spatial sky telluric CO2 absorption deviations (filled: H < 10)
0 0
RedGreenBlue
z17.63
znorm Inf
sky -Inf -NaN -Inf
S/N 4.7 7.3 8.4
S/N(c) 0.0 0.0 0.0
SN(E/C) 1.03

IPAIRNAMESHIFTNEWSHIFTS/N NAMESHIFTNEWSHIFTS/N
0 12320035 0.490605 0.00000 16.3370 12320036 0.00185270 0.488752 16.8455
1 12320039 0.488815 0.00178999 17.1307 12320040 -0.00698501 0.497590 18.4852
2 12320038 0.488374 0.00223100 16.6740 12320037 0.00198051 0.488624 16.8965
3 12320034 0.489477 0.00112799 15.4552 12320033 0.00000 0.490605 16.6531