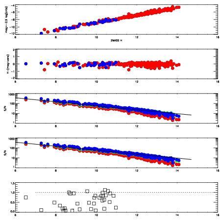
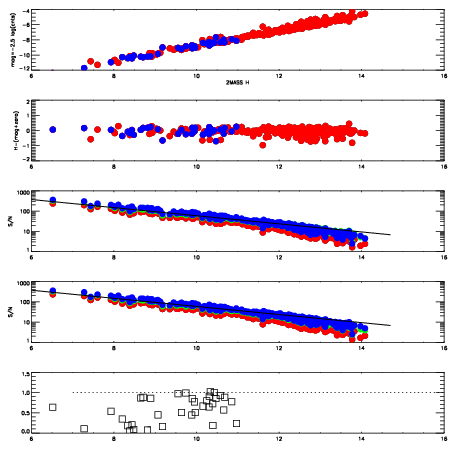
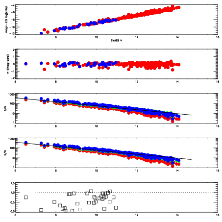
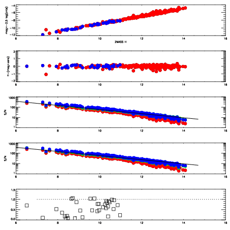
Frame | Nreads | Zeropoints | Mag plots
| Spatial mag deviation
| Spatial sky 16325A emission deviations (filled: sky, open: star)
| Spatial sky continuum emission
| Spatial sky telluric CO2 absorption deviations (filled: H < 10)
|
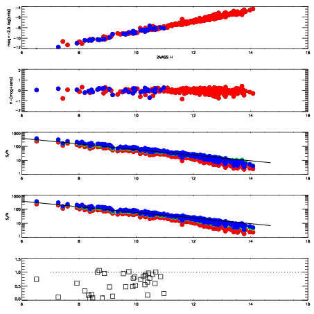
12730011
| 47
| | Red | Green | Blue
| z | | 18.66
| znorm | | 14.48
| sky | 13.8 | 13.5 | 13.3
| S/N | 11.8 | 19.4 | 18.9
| S/N(c) | 12.0 | 6.6 | 13.9
| SN(E/C) | 0.72
|
|
|
|
|
|
|
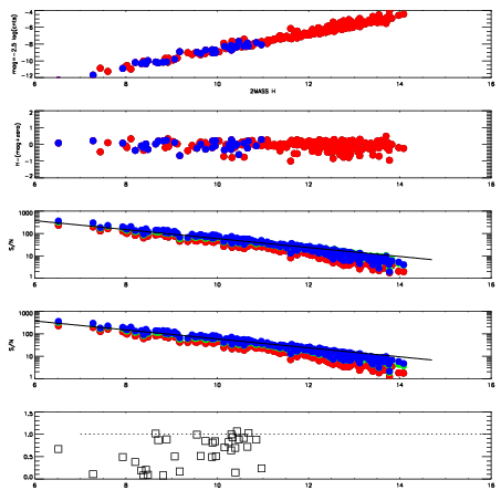
12730012
| 47
| | Red | Green | Blue
| z | | 18.76
| znorm | | 14.58
| sky | 13.8 | 13.5 | 13.4
| S/N | 12.1 | 20.3 | 20.6
| S/N(c) | 12.8 | 7.2 | 14.9
| SN(E/C) | 0.69
|
|
|
|
|
|
|
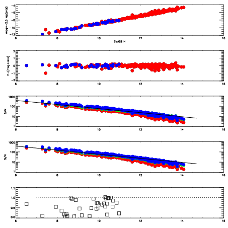
12730013
| 47
| | Red | Green | Blue
| z | | 18.83
| znorm | | 14.65
| sky | 13.9 | 13.7 | 13.6
| S/N | 12.5 | 21.2 | 21.4
| S/N(c) | 13.3 | 7.4 | 15.5
| SN(E/C) | 0.64
|
|
|
|
|
|
|
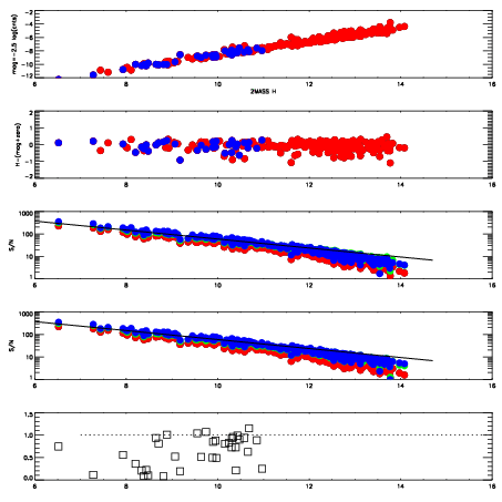
12730014
| 47
| | Red | Green | Blue
| z | | 18.83
| znorm | | 14.65
| sky | 14.1 | 13.9 | 13.7
| S/N | 12.5 | 21.0 | 21.2
| S/N(c) | 13.7 | 7.7 | 15.8
| SN(E/C) | 0.64
|
|
|
|
|
|
|
12730015
| 47
| | Red | Green | Blue
| z | | 18.90
| znorm | | 14.72
| sky | 13.9 | 13.9 | 13.8
| S/N | 13.4 | 22.5 | 22.8
| S/N(c) | 13.9 | 7.9 | 16.4
| SN(E/C) | 0.59
|
|
|
|
|
|
|
12730016
| 47
| | Red | Green | Blue
| z | | 18.93
| znorm | | 14.75
| sky | 14.0 | 13.9 | 13.8
| S/N | 13.2 | 22.9 | 24.0
| S/N(c) | 14.1 | 8.1 | 16.6
| SN(E/C) | 0.70
|
|
|
|
|
|
|
12730017
| 47
| | Red | Green | Blue
| z | | 18.93
| znorm | | 14.75
| sky | 14.1 | 13.9 | 13.8
| S/N | 14.5 | 23.4 | 24.3
| S/N(c) | 14.4 | 8.4 | 17.3
| SN(E/C) | 0.56
|
|
|
|
|
|
|
12730018
| 47
| | Red | Green | Blue
| z | | 18.96
| znorm | | 14.78
| sky | 14.2 | 14.1 | 14.0
| S/N | 15.1 | 24.5 | 24.8
| S/N(c) | 14.7 | 8.6 | 17.3
| SN(E/C) | 0.61
|
|
|
|
|
|
|