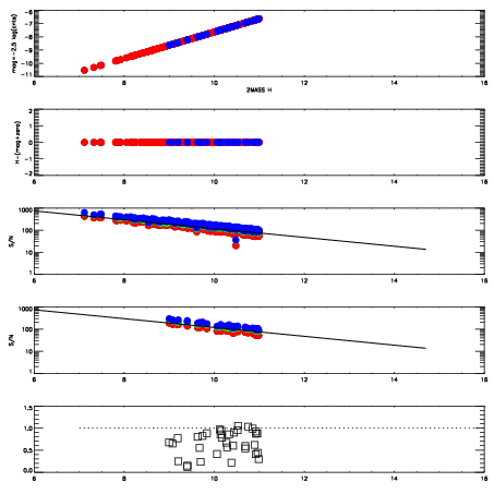
Left plots: red are targets, blue are telluric. Observed mags are calculated from median value of green chip. Zeropoint gives overall throughput: bigger number is more throughput.
First spatial plots: circles are objects, squares are tellurics, crosses are sky fibers. Colors give deviation of observed mag from expected 2MASS mag using the median zeropoint; red is brighter
Second spatial plots: circles are sky fibers. Colors give sky line brightness relative to plate median sky line brightness
FrameNreadsZeropointsMag plots Spatial mag deviation Spatial sky 16325A emission deviations (filled: sky, open: star) Spatial sky continuum emission Spatial sky telluric CO2 absorption deviations (filled: H < 10)
0 0
RedGreenBlue
z17.64
znorm Inf
sky -Inf -Inf -Inf
S/N 35.4 52.7 55.6
S/N(c) 0.0 0.0 0.0
SN(E/C) 0.67

IPAIRNAMESHIFTNEWSHIFTS/N NAMESHIFTNEWSHIFTS/N
0 08180051 0.506867 0.00000 19.2019 08180052 -0.00149874 0.508366 19.2105
1 08180050 0.498307 0.00856000 19.1961 08180049 -0.00235214 0.509219 19.1927
2 08180047 0.505710 0.00115699 19.1709 08180048 -0.000745405 0.507612 19.1829
3 08180046 0.501109 0.00575799 19.1387 08180045 0.00000 0.506867 19.0380