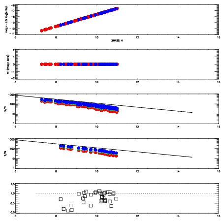
Left plots: red are targets, blue are telluric. Observed mags are calculated from median value of green chip. Zeropoint gives overall throughput: bigger number is more throughput.
First spatial plots: circles are objects, squares are tellurics, crosses are sky fibers. Colors give deviation of observed mag from expected 2MASS mag using the median zeropoint; red is brighter
Second spatial plots: circles are sky fibers. Colors give sky line brightness relative to plate median sky line brightness
FrameNreadsZeropointsMag plots Spatial mag deviation Spatial sky 16325A emission deviations (filled: sky, open: star) Spatial sky continuum emission Spatial sky telluric CO2 absorption deviations (filled: H < 10)
0 0
RedGreenBlue
z17.64
znorm Inf
sky -Inf -NaN -Inf
S/N 11.8 18.9 20.9
S/N(c) 0.0 0.0 0.0
SN(E/C) 0.83

IPAIRNAMESHIFTNEWSHIFTS/N NAMESHIFTNEWSHIFTS/N
0 08190060 0.507927 0.00000 17.7600 08190061 -0.00330137 0.511228 17.7837
1 08190063 0.505012 0.00291502 17.8288 08190058 0.00000 0.507927 17.9775
2 08190059 0.505756 0.00217098 17.8153 08190062 -0.00408144 0.512008 17.8493
3 08190064 0.507287 0.000639975 17.0366 08190065 -0.00425755 0.512185 17.5740