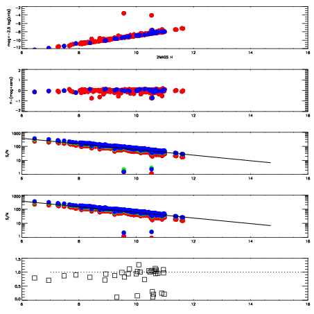
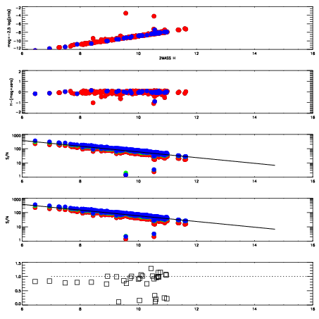
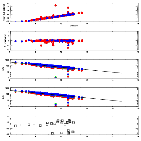
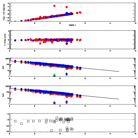
Left plots: red are targets, blue are telluric. Observed mags are calculated from median value of green chip. Zeropoint gives overall throughput: bigger number is more throughput.
First spatial plots: circles are objects, squares are tellurics, crosses are sky fibers. Colors give deviation of observed mag from expected 2MASS mag using the median zeropoint; red is brighter
Second spatial plots: circles are sky fibers. Colors give sky line brightness relative to plate median sky line brightness
FrameNreadsZeropointsMag plots Spatial mag deviation Spatial sky 16325A emission deviations (filled: sky, open: star) Spatial sky continuum emission Spatial sky telluric CO2 absorption deviations (filled: H < 10)
8440069 47
RedGreenBlue
z18.90
znorm14.72
sky 14.2 13.7 13.7
S/N 14.7 22.0 22.8
S/N(c) 24.5 23.9 15.4
SN(E/C) 0.93
8440070 47
RedGreenBlue
z18.87
znorm14.69
sky 14.2 13.9 13.9
S/N 14.1 21.4 22.2
S/N(c) 23.9 23.4 15.4
SN(E/C) 0.93
8440071 47
RedGreenBlue
z18.86
znorm14.68
sky 14.1 13.9 13.9
S/N 13.9 21.4 22.1
S/N(c) 24.1 23.5 15.4
SN(E/C) 0.92
8440072 47
RedGreenBlue
z18.87
znorm14.69
sky 14.2 13.9 13.9
S/N 13.8 21.1 22.0
S/N(c) 24.0 23.5 15.5
SN(E/C) 0.96
8440073 47
RedGreenBlue
z18.85
znorm14.67
sky 14.2 14.0 14.0
S/N 13.7 21.3 21.7
S/N(c) 23.8 23.0 15.6
SN(E/C) 0.89
8440074 47
RedGreenBlue
z18.88
znorm14.70
sky 14.1 14.0 14.0
S/N 13.3 21.3 22.1
S/N(c) 24.2 23.5 15.8
SN(E/C) 0.94