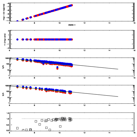
Left plots: red are targets, blue are telluric. Observed mags are calculated from median value of green chip. Zeropoint gives overall throughput: bigger number is more throughput.
First spatial plots: circles are objects, squares are tellurics, crosses are sky fibers. Colors give deviation of observed mag from expected 2MASS mag using the median zeropoint; red is brighter
Second spatial plots: circles are sky fibers. Colors give sky line brightness relative to plate median sky line brightness
FrameNreadsZeropointsMag plots Spatial mag deviation Spatial sky 16325A emission deviations (filled: sky, open: star) Spatial sky continuum emission Spatial sky telluric CO2 absorption deviations (filled: H < 10)
0 0
RedGreenBlue
z17.64
znorm Inf
sky -Inf -Inf -Inf
S/N 29.7 43.9 45.7
S/N(c) 0.0 0.0 0.0
SN(E/C) 0.90

IPAIRNAMESHIFTNEWSHIFTS/N NAMESHIFTNEWSHIFTS/N
0 08500061 0.487540 0.00000 18.8862 08500062 0.00210839 0.485432 18.8448
1 08500060 0.486317 0.00122300 18.9121 08500058 0.00404774 0.483492 18.9066
2 08500056 0.484903 0.00263700 18.8347 08500059 0.00314028 0.484400 18.8415
3 08500057 0.487534 6.02007e-06 18.7997 08500055 0.00000 0.487540 18.7766