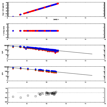
Left plots: red are targets, blue are telluric. Observed mags are calculated from median value of green chip. Zeropoint gives overall throughput: bigger number is more throughput.
First spatial plots: circles are objects, squares are tellurics, crosses are sky fibers. Colors give deviation of observed mag from expected 2MASS mag using the median zeropoint; red is brighter
Second spatial plots: circles are sky fibers. Colors give sky line brightness relative to plate median sky line brightness
FrameNreadsZeropointsMag plots Spatial mag deviation Spatial sky 16325A emission deviations (filled: sky, open: star) Spatial sky continuum emission Spatial sky telluric CO2 absorption deviations (filled: H < 10)
0 0
RedGreenBlue
z17.64
znorm Inf
sky -NaN -Inf -NaN
S/N 28.0 42.7 43.9
S/N(c) 0.0 0.0 0.0
SN(E/C) 0.94

IPAIRNAMESHIFTNEWSHIFTS/N NAMESHIFTNEWSHIFTS/N
0 12470027 0.491837 0.00000 18.7839 12470026 0.000421267 0.491416 18.8910
1 12470023 0.490026 0.00181100 19.0050 12470029 0.000544565 0.491292 19.0796
2 12470024 0.490085 0.00175199 18.9487 12470022 0.00000 0.491837 18.9794
3 12470028 0.491086 0.000750989 18.9398 12470025 0.00121388 0.490623 18.9357