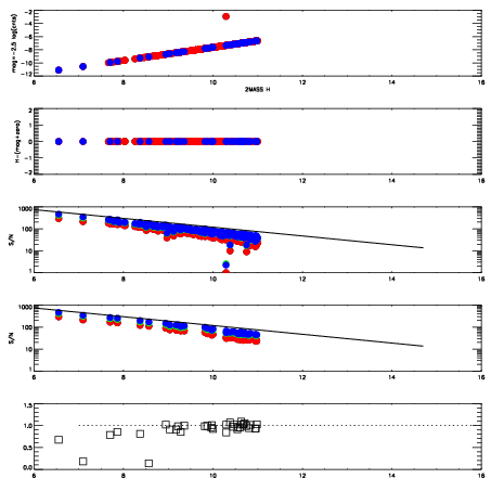
Left plots: red are targets, blue are telluric. Observed mags are calculated from median value of green chip. Zeropoint gives overall throughput: bigger number is more throughput.
First spatial plots: circles are objects, squares are tellurics, crosses are sky fibers. Colors give deviation of observed mag from expected 2MASS mag using the median zeropoint; red is brighter
Second spatial plots: circles are sky fibers. Colors give sky line brightness relative to plate median sky line brightness
FrameNreadsZeropointsMag plots Spatial mag deviation Spatial sky 16325A emission deviations (filled: sky, open: star) Spatial sky continuum emission Spatial sky telluric CO2 absorption deviations (filled: H < 10)
0 0
RedGreenBlue
z17.64
znorm Inf
sky -NaN -Inf -Inf
S/N 14.4 23.4 24.5
S/N(c) 0.0 0.0 0.0
SN(E/C) 0.96

IPAIRNAMESHIFTNEWSHIFTS/N NAMESHIFTNEWSHIFTS/N
0 12490026 0.497455 0.00000 17.7803 12490024 0.000345360 0.497110 17.8089
1 12490022 0.493322 0.00413299 17.8368 12490027 0.00264931 0.494806 18.2446
2 12490025 0.494498 0.00295699 17.5730 12490023 -0.00196933 0.499424 17.7607
3 12490021 0.493822 0.00363299 17.3532 12490020 0.00000 0.497455 16.9646