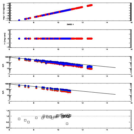
Left plots: red are targets, blue are telluric. Observed mags are calculated from median value of green chip. Zeropoint gives overall throughput: bigger number is more throughput.
First spatial plots: circles are objects, squares are tellurics, crosses are sky fibers. Colors give deviation of observed mag from expected 2MASS mag using the median zeropoint; red is brighter
Second spatial plots: circles are sky fibers. Colors give sky line brightness relative to plate median sky line brightness
FrameNreadsZeropointsMag plots Spatial mag deviation Spatial sky 16325A emission deviations (filled: sky, open: star) Spatial sky continuum emission Spatial sky telluric CO2 absorption deviations (filled: H < 10)
0 0
RedGreenBlue
z17.64
znorm Inf
sky -NaN -Inf -NaN
S/N 15.1 25.1 25.9
S/N(c) 0.0 0.0 0.0
SN(E/C) 0.97

IPAIRNAMESHIFTNEWSHIFTS/N NAMESHIFTNEWSHIFTS/N
0 08830016 0.486203 0.00000 18.2099 08830014 0.00268802 0.483515 18.3887
1 08830015 0.484579 0.00162402 18.4503 08830017 0.00509871 0.481104 18.5567
2 08830012 0.482951 0.00325203 18.0928 08830013 0.00256014 0.483643 18.2222
3 08830011 0.482895 0.00330803 17.8785 08830010 0.00000 0.486203 17.5562