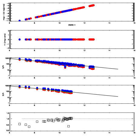
Left plots: red are targets, blue are telluric. Observed mags are calculated from median value of green chip. Zeropoint gives overall throughput: bigger number is more throughput.
First spatial plots: circles are objects, squares are tellurics, crosses are sky fibers. Colors give deviation of observed mag from expected 2MASS mag using the median zeropoint; red is brighter
Second spatial plots: circles are sky fibers. Colors give sky line brightness relative to plate median sky line brightness
FrameNreadsZeropointsMag plots Spatial mag deviation Spatial sky 16325A emission deviations (filled: sky, open: star) Spatial sky continuum emission Spatial sky telluric CO2 absorption deviations (filled: H < 10)
0 0
RedGreenBlue
z17.64
znorm Inf
sky -Inf -Inf -NaN
S/N 27.1 46.0 46.9
S/N(c) 0.0 0.0 0.0
SN(E/C) 0.91

IPAIRNAMESHIFTNEWSHIFTS/N NAMESHIFTNEWSHIFTS/N
0 09070041 0.480542 0.00000 18.9494 09070036 0.00000 0.480542 18.9536
1 09070042 0.479820 0.000721991 19.0366 09070043 0.00898024 0.471562 19.0332
2 09070037 0.477401 0.00314102 18.9892 09070040 0.00185300 0.478689 19.0038
3 09070038 0.478382 0.00216001 18.9580 09070039 0.00174199 0.478800 18.9818