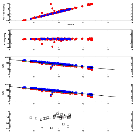
Frame | Nreads | Zeropoints | Mag plots
| Spatial mag deviation
| Spatial sky 16325A emission deviations (filled: sky, open: star)
| Spatial sky continuum emission
| Spatial sky telluric CO2 absorption deviations (filled: H < 10)
|
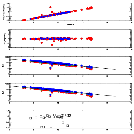
12480022
| 47
| | Red | Green | Blue
| z | | 19.08
| znorm | | 14.90
| sky | 14.0 | 13.9 | 14.0
| S/N | 17.1 | 27.2 | 27.4
| S/N(c) | 20.8 | 12.0 | 10.7
| SN(E/C) | 0.98
|
|
|
|
|
|
|
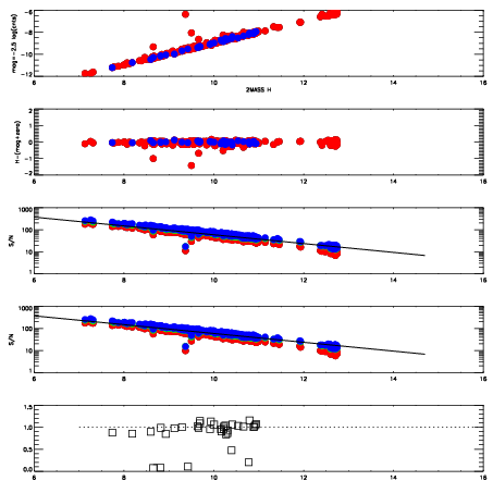
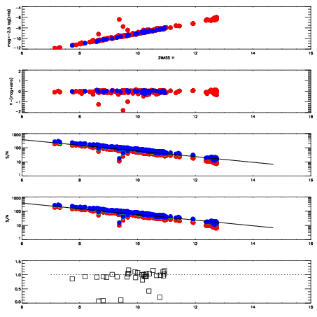
12480023
| 47
| | Red | Green | Blue
| z | | 19.06
| znorm | | 14.88
| sky | 14.1 | 14.0 | 14.3
| S/N | 16.8 | 26.6 | 27.2
| S/N(c) | 20.3 | 12.1 | 10.7
| SN(E/C) | 0.95
|
|
|
|
|
|
|
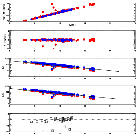
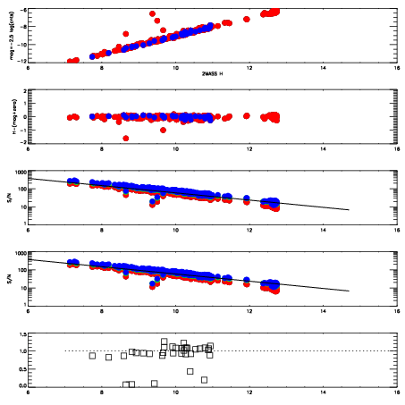
12480024
| 47
| | Red | Green | Blue
| z | | 19.05
| znorm | | 14.87
| sky | 14.1 | 14.0 | 14.2
| S/N | 16.6 | 26.8 | 27.0
| S/N(c) | 20.4 | 11.9 | 10.8
| SN(E/C) | 0.96
|
|
|
|
|
|
|
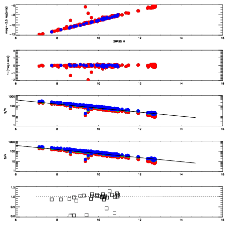
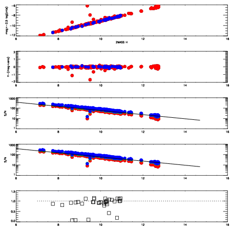
12480025
| 47
| | Red | Green | Blue
| z | | 19.09
| znorm | | 14.91
| sky | 14.0 | 14.0 | 14.3
| S/N | 16.9 | 27.0 | 27.6
| S/N(c) | 20.6 | 12.1 | 10.9
| SN(E/C) | 0.99
|
|
|
|
|
|
|
12480026
| 47
| | Red | Green | Blue
| z | | 19.06
| znorm | | 14.88
| sky | 14.0 | 14.1 | 14.2
| S/N | 16.4 | 26.5 | 27.0
| S/N(c) | 20.2 | 11.9 | 10.8
| SN(E/C) | 0.98
|
|
|
|
|
|
|
12480027
| 47
| | Red | Green | Blue
| z | | 18.97
| znorm | | 14.79
| sky | 14.1 | 14.1 | 14.2
| S/N | 15.7 | 25.4 | 26.0
| S/N(c) | 19.3 | 11.5 | 10.3
| SN(E/C) | 0.98
|
|
|
|
|
|
|
12480028
| 47
| | Red | Green | Blue
| z | | 19.11
| znorm | | 14.93
| sky | 14.2 | 14.1 | 14.2
| S/N | 16.8 | 27.0 | 27.9
| S/N(c) | 21.0 | 12.4 | 11.2
| SN(E/C) | 0.95
|
|
|
|
|
|
|
12480029
| 47
| | Red | Green | Blue
| z | | 19.00
| znorm | | 14.82
| sky | 14.0 | 14.1 | 14.2
| S/N | 15.7 | 25.7 | 26.5
| S/N(c) | 19.7 | 11.7 | 10.5
| SN(E/C) | 0.94
|
|
|
|
|
|
|