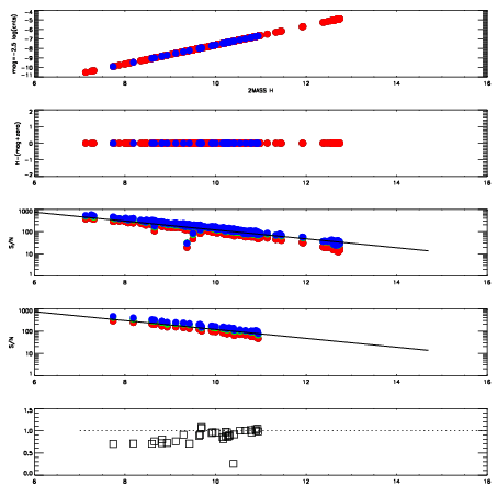
Left plots: red are targets, blue are telluric. Observed mags are calculated from median value of green chip. Zeropoint gives overall throughput: bigger number is more throughput.
First spatial plots: circles are objects, squares are tellurics, crosses are sky fibers. Colors give deviation of observed mag from expected 2MASS mag using the median zeropoint; red is brighter
Second spatial plots: circles are sky fibers. Colors give sky line brightness relative to plate median sky line brightness
FrameNreadsZeropointsMag plots Spatial mag deviation Spatial sky 16325A emission deviations (filled: sky, open: star) Spatial sky continuum emission Spatial sky telluric CO2 absorption deviations (filled: H < 10)
0 0
RedGreenBlue
z17.64
znorm Inf
sky -NaN -NaN -Inf
S/N 29.0 49.3 50.3
S/N(c) 0.0 0.0 0.0
SN(E/C) 0.91

IPAIRNAMESHIFTNEWSHIFTS/N NAMESHIFTNEWSHIFTS/N
0 12480028 0.496575 0.00000 19.1039 12480025 -0.00158812 0.498163 19.0760
1 12480023 0.493816 0.00275901 19.0518 12480022 0.00000 0.496575 19.0679
2 12480024 0.493686 0.00288901 19.0412 12480026 -0.00114851 0.497724 19.0526
3 12480027 0.496326 0.000248998 18.9624 12480029 -0.000479833 0.497055 18.9990