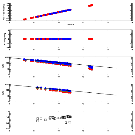
Left plots: red are targets, blue are telluric. Observed mags are calculated from median value of green chip. Zeropoint gives overall throughput: bigger number is more throughput.
First spatial plots: circles are objects, squares are tellurics, crosses are sky fibers. Colors give deviation of observed mag from expected 2MASS mag using the median zeropoint; red is brighter
Second spatial plots: circles are sky fibers. Colors give sky line brightness relative to plate median sky line brightness
FrameNreadsZeropointsMag plots Spatial mag deviation Spatial sky 16325A emission deviations (filled: sky, open: star) Spatial sky continuum emission Spatial sky telluric CO2 absorption deviations (filled: H < 10)
0 0
RedGreenBlue
z17.64
znorm Inf
sky -Inf -Inf -Inf
S/N 23.4 35.4 37.1
S/N(c) 0.0 0.0 0.0
SN(E/C) 0.96

IPAIRNAMESHIFTNEWSHIFTS/N NAMESHIFTNEWSHIFTS/N
0 12490032 0.492994 0.00000 17.8492 12490031 0.00000 0.492994 18.2164
1 12490036 0.492286 0.000708014 18.7274 12490038 -0.00213438 0.495128 18.5575
2 12490037 0.492580 0.000414014 18.7192 12490035 0.000779793 0.492214 18.4427
3 12490033 0.492800 0.000194013 18.4861 12490034 0.000732355 0.492262 18.2869