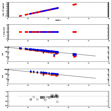
Left plots: red are targets, blue are telluric. Observed mags are calculated from median value of green chip. Zeropoint gives overall throughput: bigger number is more throughput.
First spatial plots: circles are objects, squares are tellurics, crosses are sky fibers. Colors give deviation of observed mag from expected 2MASS mag using the median zeropoint; red is brighter
Second spatial plots: circles are sky fibers. Colors give sky line brightness relative to plate median sky line brightness
FrameNreadsZeropointsMag plots Spatial mag deviation Spatial sky 16325A emission deviations (filled: sky, open: star) Spatial sky continuum emission Spatial sky telluric CO2 absorption deviations (filled: H < 10)
0 0
RedGreenBlue
z17.64
znorm Inf
sky -Inf -Inf -Inf
S/N 32.6 48.3 50.8
S/N(c) 0.0 0.0 0.0
SN(E/C) 0.92

IPAIRNAMESHIFTNEWSHIFTS/N NAMESHIFTNEWSHIFTS/N
0 12530064 0.481748 0.00000 18.8413 12530066 -0.00290360 0.484652 18.8519
1 12530060 0.479546 0.00220200 19.0310 12530063 -0.00219926 0.483947 19.0052
2 12530061 0.480759 0.000989020 19.0095 12530059 0.00000 0.481748 18.9927
3 12530065 0.481717 3.10242e-05 18.8999 12530062 -0.00105256 0.482801 18.9456