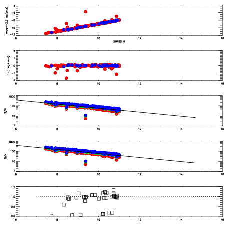
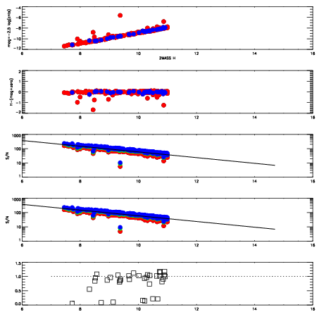
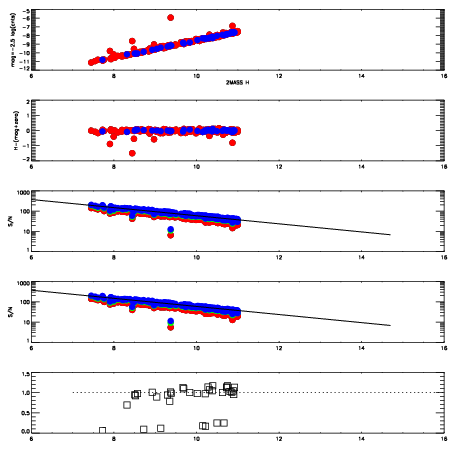
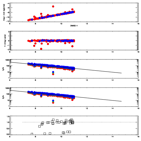
Left plots: red are targets, blue are telluric. Observed mags are calculated from median value of green chip. Zeropoint gives overall throughput: bigger number is more throughput.
First spatial plots: circles are objects, squares are tellurics, crosses are sky fibers. Colors give deviation of observed mag from expected 2MASS mag using the median zeropoint; red is brighter
Second spatial plots: circles are sky fibers. Colors give sky line brightness relative to plate median sky line brightness
FrameNreadsZeropointsMag plots Spatial mag deviation Spatial sky 16325A emission deviations (filled: sky, open: star) Spatial sky continuum emission Spatial sky telluric CO2 absorption deviations (filled: H < 10)
8160058 47
RedGreenBlue
z18.57
znorm14.39
sky 14.0 13.8 13.9
S/N 13.9 20.6 22.4
S/N(c) 17.3 10.2 24.7
SN(E/C) 0.98
8160059 47
RedGreenBlue
z18.79
znorm14.61
sky 14.0 13.8 14.0
S/N 15.9 23.2 25.4
S/N(c) 19.4 11.4 27.5
SN(E/C) 0.96
8160060 47
RedGreenBlue
z19.00
znorm14.82
sky 14.3 14.0 14.2
S/N 18.0 26.2 28.3
S/N(c) 22.0 12.7 30.9
SN(E/C) 0.96
8160061 47
RedGreenBlue
z18.90
znorm14.72
sky 14.0 13.8 13.8
S/N 16.9 24.8 26.6
S/N(c) 20.8 12.1 29.4
SN(E/C) 0.93