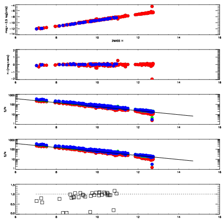
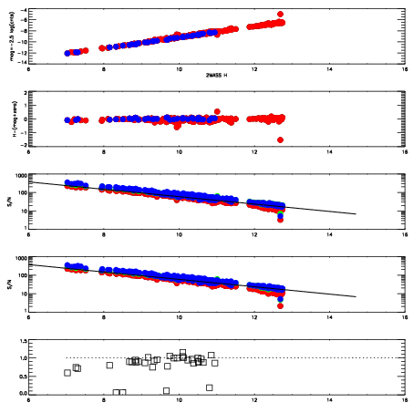
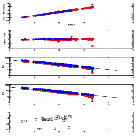
Frame | Nreads | Zeropoints | Mag plots
| Spatial mag deviation
| Spatial sky 16325A emission deviations (filled: sky, open: star)
| Spatial sky continuum emission
| Spatial sky telluric CO2 absorption deviations (filled: H < 10)
|
9730011
| 47
| | Red | Green | Blue
| z | | 19.20
| znorm | | 15.02
| sky | 14.0 | 13.9 | 13.6
| S/N | 17.2 | 26.8 | 27.1
| S/N(c) | 16.6 | 13.8 | 17.7
| SN(E/C) | 0.89
|
|
|
|
|
|
|
9730012
| 47
| | Red | Green | Blue
| z | | 19.12
| znorm | | 14.94
| sky | 14.2 | 14.1 | 13.9
| S/N | 16.2 | 25.1 | 26.1
| S/N(c) | 15.9 | 13.2 | 16.9
| SN(E/C) | 0.94
|
|
|
|
|
|
|
9730013
| 47
| | Red | Green | Blue
| z | | 19.13
| znorm | | 14.95
| sky | 13.9 | 14.1 | 13.8
| S/N | 15.9 | 25.3 | 25.9
| S/N(c) | 15.9 | 13.3 | 17.0
| SN(E/C) | 0.90
|
|
|
|
|
|
|
9730014
| 47
| | Red | Green | Blue
| z | | 19.23
| znorm | | 15.05
| sky | 14.2 | 14.1 | 14.0
| S/N | 17.3 | 26.7 | 27.6
| S/N(c) | 16.8 | 13.9 | 17.9
| SN(E/C) | 0.91
|
|
|
|
|
|
|
9730015
| 47
| | Red | Green | Blue
| z | | 19.18
| znorm | | 15.00
| sky | 14.1 | 14.1 | 13.9
| S/N | 16.6 | 25.8 | 26.4
| S/N(c) | 16.4 | 13.7 | 17.6
| SN(E/C) | 0.90
|
|
|
|
|
|
|
9730016
| 47
| | Red | Green | Blue
| z | | 19.16
| znorm | | 14.98
| sky | 14.1 | 14.1 | 13.9
| S/N | 15.9 | 25.6 | 26.1
| S/N(c) | 16.2 | 13.4 | 17.4
| SN(E/C) | 0.92
|
|
|
|
|
|
|
9730017
| 47
| | Red | Green | Blue
| z | | 19.22
| znorm | | 15.04
| sky | 14.1 | 14.0 | 13.9
| S/N | 16.9 | 26.5 | 27.0
| S/N(c) | 16.8 | 13.9 | 18.0
| SN(E/C) | 0.95
|
|
|
|
|
|
|
9730018
| 47
| | Red | Green | Blue
| z | | 19.22
| znorm | | 15.04
| sky | 14.1 | 14.1 | 14.0
| S/N | 17.1 | 26.5 | 27.0
| S/N(c) | 16.8 | 13.8 | 18.0
| SN(E/C) | 0.91
|
|
|
|
|
|
|