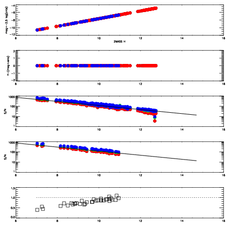
Left plots: red are targets, blue are telluric. Observed mags are calculated from median value of green chip. Zeropoint gives overall throughput: bigger number is more throughput.
First spatial plots: circles are objects, squares are tellurics, crosses are sky fibers. Colors give deviation of observed mag from expected 2MASS mag using the median zeropoint; red is brighter
Second spatial plots: circles are sky fibers. Colors give sky line brightness relative to plate median sky line brightness
FrameNreadsZeropointsMag plots Spatial mag deviation Spatial sky 16325A emission deviations (filled: sky, open: star) Spatial sky continuum emission Spatial sky telluric CO2 absorption deviations (filled: H < 10)
0 0
RedGreenBlue
z17.64
znorm Inf
sky -Inf -Inf -Inf
S/N 29.9 48.5 50.5
S/N(c) 0.0 0.0 0.0
SN(E/C) 0.84

IPAIRNAMESHIFTNEWSHIFTS/N NAMESHIFTNEWSHIFTS/N
0 09730012 0.510255 0.00000 19.1145 09730015 0.000687514 0.509567 19.1825
1 09730017 0.509749 0.000505984 19.2244 09730014 0.000623567 0.509631 19.2299
2 09730016 0.509454 0.000800967 19.1610 09730018 0.00291741 0.507338 19.2261
3 09730013 0.510098 0.000156999 19.1336 09730011 0.00000 0.510255 19.1973