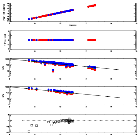
Left plots: red are targets, blue are telluric. Observed mags are calculated from median value of green chip. Zeropoint gives overall throughput: bigger number is more throughput.
First spatial plots: circles are objects, squares are tellurics, crosses are sky fibers. Colors give deviation of observed mag from expected 2MASS mag using the median zeropoint; red is brighter
Second spatial plots: circles are sky fibers. Colors give sky line brightness relative to plate median sky line brightness
FrameNreadsZeropointsMag plots Spatial mag deviation Spatial sky 16325A emission deviations (filled: sky, open: star) Spatial sky continuum emission Spatial sky telluric CO2 absorption deviations (filled: H < 10)
0 0
RedGreenBlue
z17.64
znorm Inf
sky -NaN -Inf -Inf
S/N 41.0 59.8 63.5
S/N(c) 0.0 0.0 0.0
SN(E/C) 0.93

IPAIRNAMESHIFTNEWSHIFTS/N NAMESHIFTNEWSHIFTS/N
0 08420083 0.481961 0.00000 19.1520 08420084 0.00474972 0.477211 19.1443
1 08420082 0.480734 0.00122702 19.1402 08420081 0.00000 0.481961 19.1319
2 08420087 0.479954 0.00200701 19.1311 08420085 -0.00381970 0.485781 19.1294
3 08420086 0.478699 0.00326201 19.1137 08420089 -0.000868363 0.482829 19.1034
4 08420090 0.481542 0.000419021 19.1015 08420088 0.000713856 0.481247 19.0600